0 руб
Оформить заказПредохранительные пружинно-кулачковые муфты (рис. 8) рассчитывают на контактную прочность и изгиб так же, как и сцепные кулачковые муфты.
Допускаемый вращающий момент по контактным напряжениям, Н·мм,
Т = 0,5Dzbhp,
где D - средний диаметр кулачков, мм; обычно D выбирается в пределах 1,25-2,5 диаметра вала;
z - число кулачков;
b - ширина кулачков, мм;
h - высота кулачков, мм;
р - допускаемое номинальное давление, принимают равным 30МПа.
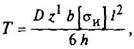
Допускаемый вращающий момент по изгибу (определяют для кулачков с плоскими гранями при z > 11)

где z1 - расчетное число кулачков, равное 1/2—1/3 общего числа кулачков;
[σи] - допускаемое напряжение на изгиб, МПа, выбирают по пределу текучести с запасом не ниже 1,5;
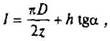
l - толщина кулачков у основания, см; при беззазорном сцеплении:

где a - угол наклона рабочих граней, практически принимают не более 65°.
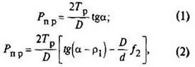
Потребную силу сжатия пружины Рпр, Н, для передачи вращающего момента определяют из следующих уравнений:

где Тр - расчетный вращающий момент, мм; Н·мм; Тр = 1,3Тном (Тном — наибольший номинальный вращающий момент);
D - средний диаметр кулачков, мм;
а - угол наклона рабочих граней, градусы;
р1 - угол трения между кулачками (для стали 5—6°);
f2 - коэффициент трения в шлицевом (шпоночном) соединении (для стали 0,15— 0,16);
d - диаметр вала, мм.
Формула (1) не учитывает сил трения в кулачках и в шлицевом соединении, что соответствует работе муфты при длительной перегрузке. При мгновенных перегрузках предполагается действие сил трения и расчет ведут по формуле (2).
Для, надежности работы муфты кромки кулачков следует закруглять.

26. Камни для перевода муфт
Размеры, мм

В d11 | D d11 | D1 наибольший | Н c11 | d Е8 | Отверстие d1 Н7 | l | l1 | f | Цилиндрическийштифт, ГОСТ3128-70 |
10 | 14 | 5 | 5 | 18 | 8 | 0,5 | 5×12 | ||
12 | 16 | 6 | 6 | 22 | 10 | 0,5 | 6×16 | ||
16 | 20 | 8 | 8 | 28 | 12 | 1,0 | 6×18 | ||
20 | 26 | 10 | 10 | 36 | 14 | 1,0 | 10×22 | ||
25 | 32 | 12 | 13 | 45 | 16 | 1,5 | 13×25 | ||
32 | 40 | 16 | 16 | 56 | 22 | 1,5 | 16×36 | ||
40 | 50 | 20 | 20 | 70 | 24 | 2,0 | 20×40 | ||
50 | 60 | 25 | 25 | 85 | 30 | 2,0 | 25×50 | ||
Материал:
для типа А - чугун СЧ20, текстолит, бронза;
для типа Б - сталь 40Х, твердость 49,5 HRCэ.