0 руб
Оформить заказПринятые обозначения:
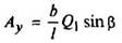
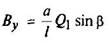
η - КПД рассчитываемого участка передачи; i - передаточное отношение частоты вращения выходного вала к рассчитываемому; Т - вращающий момент рассчитываемого вала, Н·мм; Тв - вращающий момент выходного вала, Н·мм; β - угол между направлением действия силы и осью х; остальные обозначения указаны в решении примера.
Дано: вращающий момент на выходном валу Тв = 162000 Н·мм.
Найти диаметр промежуточного вала для участка передачи, схема которого изображена на рис. 13.

Рис. 13. Схема передачи к примеру для расчета
Решение примера приведено в табл. 11.

Рис. 14

Рис. 15
11. Решение примера
Определяемое | Расчетная формула | Расчет | |
Вращающий момент с учетом ц | T = Tвi1/η | η = 0,96; T =162000·1 / 0,96 =1б9000Н·мм | |
Окружная сила | P = 2T/D | P1 = 2·169000 / 75 =4,50кН; P3 = 2·169000 / 104 = 3,25 кН | |
Силы, действующие на вал и подшипники | Q ≈ 1,1Р | Q1 = 1,1 · 4,50 = 4,95кН; Q3 = 1,1 · 3,25 = 3,58кН | |
Реакция опоры в плоскости х и ус учетом знака (рис.14) | Опора А |
|
|
Реакция опоры в плоскости х и ус учетом знака (рис.14) | Опора А |
|
|
Опора В |
|
| |
|
| ||
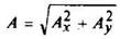
Полная реакция | Опора А |
|
|
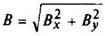
Опора В |
|
| |
Изгибающий момент в опасном сечении (рис.14) | Плоскости х, у | См. эпюры (рис. 14) | Опасное сечение в опоре В |
Суммарный |
| Ми = Мих = 161000 Н · мм | |
Отношение Т/Ми в опасном сечении | T/Ми | 169000 / 161000 = 1,05 | |
Диаметр вала (по Ми, Н·м, и Т/Ми) | По табл. 10 | d = 30мм | |
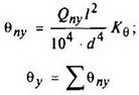
Угол наклона упругой линии в расчетном сечении в плоскости х | Отдельно от каждой силы |
|
|
Продолжение табл. 11
Определяемое | Расчетная формула | Расчет | |
Суммарный |
| θх = 0,00068 + 0,00018 = 0,00086рад | |
Угол наклона упругой линии в расчетном сечении в плоскости у (рис. 15) |
|
| |
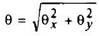
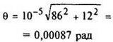
Угол наклона упругой линии в расчетном сечении |
|
| |
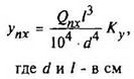
Прогиб в расчетном сечении в плоскости х | Отдельно от каждой силы |
|
|
Суммарный |
| ух = 0,0045 + 0,0008 = 0,0053см | |
То же, в плоскости у (рис. 15) |
| ||
|
| ||
Прогиб в расчетном сечении |
|
| |
Допустимые величины | θ в опоре | 0,001 | 0,00087 рад |
ymах, см | 0,0001…0.0005 = ymах; ymax =( 0,01…0,03)m; m - модуль в см | 0,0053 : 9,5 = 0,00056; ymax = 0,03 · 0,25 = 0,0075; фактически 0,0053 | |
Примечание. В отношении жесткости вала диаметр d = 30мм допустим. Для создания лучших условий работы подшипников и зубчатых колес следует принять d = 32мм.
12. Сравнение сплошных и полых валов различного сечения по наружному диаметру (d, d1), моменту инерции (J, J1), моменту сопротивления (W, W1) и массе
(площади поперечного сечения F, F1)

J1/J и W1/W - относительные значения моментов инерции и моментов сопротивления сечении полых валов как при изгибе, так и при кручении
d2/d1 | При одинаковом наружном диаметре валов | При одинаковой массе валов или при одинаковой площади сечения F=F1 | При одинаковой прочности валов W1 = W | При одинаковой жесткости валов J1 = J | ||||||
J1/J = W1/W | Уменьшение массы, % | d1/d | J1/J | W1/W | d1/d = J1/J | Уменьшение массы, % | d1/d | W1/W | Уменьшение массы, % | |
0,1 | 1,000 | 1 | 1,01 | 1,020 | 1,015 | 1,000 | 1 | 1,00 | 1,000 | 1 |
0,2 | 0,998 | 4 | 1,02 | 1,083 | 1,061 | 1,001 | 4 | 1,00 | 1,000 | 4 |
0,3 | 0,992 | 9 | 1,05 | 1,198 | 1,142 | 1,003 | 9 | 1,00 | 0,998 | 9 |
0,4 | 0,974 | 16 | 1,09 | 1,381 | 1,265 | 1,009 | 14 | 1,01 | 0,994 | 15 |
0,5 | 0,938 | 25 | 1,15 | 1,667 | 1,443 | 1,021 | 22 | 1,02 | 0,984 | 23 |
0,6 | 0,870 | 36 | 1,25 | 2ДЗ | 1,70 | 1,047 | 30 | 1,04 | 0,966 | 31 |
0,7 | 0,760 | 49 | 1,40 | 2,92 | 2,09 | 1,097 | 39 | 1,07 | 0,934 | 41 |
0,8 | 0,590 | 64 | 1,67 | 4,56 | 2,73 | 1,192 | 49 | 1Д4 | 0,877 | 53 |
0,9 | 0,344 | 81 | 2,29 | 9,53 | 4,15 | 1,427 | 63 | 1,31 | 0,766 | 68 |























/p>


