0 руб
Оформить заказГОСТ 1284.3-96 распространяется на бесконечные резинотканевые приводные клиновые ремни нормальных сечений по ГОСТ 1284.1 и ГОСТ 1284.2.
ГОСТ 1284.3-96 соответствует стандарту ИСО 5292-80 в части расчета номинальной мощности.
Сечения ремней А, В(Б), С(В), D(Г), Е(Д) выбирают в соответствии с рис. 11. Ремни сечения Z(O) применяют при передаваемых мощностях до 2кВт, сечения ЕО(Е) - при мощностях свыше 200кВт.
Расчетную передаваемую мощность Р вычисляют по формуле
Р = Рном Ср,
где Рном - номинальная мощность, потребляемая приводом, кВт; Ср - коэффициент динамичности нагрузки и режима работы.
Номинальной считают нагрузку, вероятность распределения которой на стационарных режимах не превышает 80%.
Коэффициент динамичности нагрузки и режима Ср определяют по табл. 33 и 34.
Схема расчета двухшкивной клиноременной передачи приведена на рис. 12.

Рис. 11. График для определения сечения ремня

Рис. 12. Схема для расчета ременной передачи
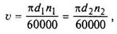
Линейную скорость ремня v (в м/с) вычисляют по формуле

где d1, d2 - расчетные диаметры соответственно меньшего и большего шкивов, мм; n1, n2 - частота вращения соответственно меньшего и большего шкивов, мин-1.
Расчетные диаметры шкивов выбирают в соответствии с требованиями ГОСТ 20889. Диаметр меньшего шкива передачи следует брать возможно большего значения, но не более предельно допустимой скорости ремня 30м/с. Для сельскохозяйственных машин допускается применять шкивы по нормативной документации.
Расчетный диаметр большего шкива
d2 = id1.
Передаточное число
i= n1/n2 = d2/d1
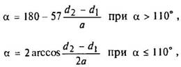
Угол обхвата ремнем меньшего шкива а вычисляют по формулам

где а - межцентровое расстояние, мм.
Минимальный угол обхвата ремня шкивом рекомендуется брать не менее 90º.
Межцентровое расстояние определяется конструктивными особенностями привода. Рекомендуемое межцентровое расстояние вычисляют по формуле
0,7(d1 + d2) < а < 2(d1 + d2).
33. Коэффициент Ср динамичности нагрузки и режима работы ремней в приводах промышленного оборудования (ГОСТ 1284.3-96)
Режим работы; тип машины | Характер нагрузки | Ср при числе смен работы ремней | ||||||||
1 | 2 | 3 | 1 | 2 | 3 | 1 | 2 | 3 | ||
Электродвигатель переменного тока общепромышленного применения, электродвигатель постоянного тока шунтовой, турбины | Электродвигатель постоянного тока компаундный, двигатель внутреннего сгорания с частотой вращения свыше 600мин-1 | Электродвигатель переменного тока с повышенным пусковым моментом; электродвигатель постоянного тока сериесный; двигатель внутреннего сгорания с частотой вращения ниже 600мин-1 | ||||||||
Легкий режим. Станки с непрерывным процессом резания: токарные, сверлильные, шлифовальные, легкие вентиляторы, насосы и компрессоры центробежные и ротационные, ленточные конвейеры, веялки, сепараторы, легкие грохоты, машины для очистки и погрузки зерна и др. | Спокойная. Максимальная кратковременная нагрузка до 120% номинальной | 1,0 | 1,1 | 1,4 | 1,1 | 1,2 | 1,5 | 1,2 | 1,4 | 1,6 |
Средний режим. Станки фрезерные, зубофрезерные и револьверные, полиграфические машины, электрические генераторы; поршневые насосы и компрессоры с тремя и более цилиндрами, вентиляторы и воздуходувки, цепные транспортеры, элеваторы, дисковые пилы для дерева, трансмиссии прядильные, бумажные, пищевые машины, тяжелые грохоты, вращающиеся печи, станки скоростного шлифования и др. | Умеренные колебания нагрузки. Максимальная кратковременная нагрузка до 150% номинальной | 1,0 | 1,2 | 1,5 | 1,2 | 1,4 | 1,6 | 1,3 | 1,5 | 1,7 |
Тяжелый режим. Станки строгальные, долбежные, зубодолбежные и деревообрабатывающие, насосы и компрессоры поршневые с одним или двумя цилиндрами, вентиляторы и воздуходувки тяжелого типа, конвейеры винтовые, скребковые, дезинтеграторы, прессы винтовые с относительно тяжелым маховиком, ткацкие машины, хлопкоочистительные машины, машины для прессования и брикетирования кормов и др. | Значительное колебание нагрузки. Максимальная кратковременная нагрузка до 200% номинальной | 1.2 | 1,3 | 1,6 | 1,3 | 1,5 | 1,7 | 1,4 | 1,6 | 1,9 |
Очень тяжелый режим. Подъемники, экскаваторы, драги, прессы винтовые и эксцентриковые с относительно легким маховиком, ножницы, молоты, бегуны, глиномялки, мельницы шаровые, жерновые, вальцовые, дробилки, лесопильные рамы и др. | Ударная и резко-неравномерная нагрузка. Максимальная кратковременная нагрузка до 300% номинальной | 1,3 | 1,5 | 1,7 | 1,4 | 1,6 | 1,8 | 1,5 | 1,7 | 2,0 |
34. Коэффициент Ср динамичности нагрузки и режима работы ремней в приводах сельхозмашин (ГОСТ 1284.3-96)
Режим работы; тип машины и агрегата сельхозмашин | Характер нагрузки | Ср при числе смен работы ремней | |||||
1 | 2 | 3 | 1 | 2 | 3 | ||
Электродвигатель переменного и постоянного тока | Двигатель внутреннего сгорания | ||||||
Легкий режим. Равномерно вращающиеся роторы, ленточные и цепочно-планчатые элеваторы, клавишные соломотрясы, шнековые питатели, подборщики стеблей, вентиляторы очистки, гидронасосы, погрузчики тюков, плющилки травы, стеклоподъемники | Спокойная. Кратковременная перегрузка до 120% номинальной | 1,0 | 1,1 | 1,4 | 1,1 | 1,2 | 1,5 |
Средний режим. Мотовило, шнеки жаток, грохоты, гидростатическая передача, питающие транслортеры, легкие ротационые почвообрабатывающие органы, приводы ходовой части самоходных машин | Умеренная колебательная. Кратковременная перегрузка до 150% номинальной | 1,1 | 1,2 | 1.5 | 1,2 | 1,4 | 1.6 |
Тяжелый режим. Молотильные барабаны, режущие аппараты, измельчители стеблей, вентиляторы измельченной массы, прессы для соломы (сена), разбрасыватели удобрений, тяжелые грохоты и ротационные почвообрабатывающие органы | Значительные колебательные. Кратковременная перегрузка до 200% номинальной | 1,2 | 1,3 | 1,6 | 1,3 | 1,5 | 1,7 |
Примечание. При реверсировании, частом пуске и установке натяжного шкива на ведущей ветви коэффициент Ср увеличивается на 0,1.
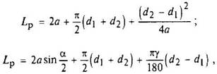
В зависимости от выбранного межцентрового расстояния расчетную длину ремня Lp (в мм) вычисляют по формулам:

где γ - угол, равный (90° - а/2), град.
Вычисленную расчетную длину округляют до ближайшей стандартной расчетной длины ремня в соответствии с ГОСТ 1284.1.
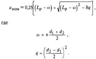
Номинальное межцентровое расстояние в аном мм:

Для компенсации отклонений от номинала по длине ремня, его удлинения в процессе эксплуатации, а также для свободной установки новых ремней в передаче должна быть предусмотрена регулировка межцентрового расстояния шкивов.
Возможное увеличение межцентрового расстояния Δ1 относительно номинального аном должно удовлетворять условию
Δ1 ≥ S1Lp
где S1 - коэффициент, определяемый по табл. 35.
Уменьшение межцентрового расстояния Δ2 должно удовлетворять условию
Δ2 ≥ S2Lp +2Wp
где S2 - коэффициент, определяемый по табл. 35; Wp- расчетная ширина канавки шкива для ремня выбранного сечения, мм; определяют по ГОСТ 20889.
35. Значения коэффициентов S1 и S2
Класс ремня (ГОСТ1284.2) | S1 | S2 |
I, II | 0,025 | 0,009 |
III, IV | 0,020 | 0,009 |
Примечание. По согласованию потребителя с разработчиком ремней для движущихся сельхозмашин допускается изменять пределы регулирования межцентрового расстояния.
Схемы расчета трехшкивных передач приведены на рис. 13. Третий шкив схемы (рис. 13, а) может быть как рабочим, так и натяжным, а схемы на рис. 13, б - только натяжными. Натяжные шкивы должны располагаться на ведомой ветви передачи. Более предпочтительным является внутреннее расположение шкива в контуре.
Расчетный диаметр натяжного шкива, расположенного внутри контура, должен быть не менее меньшего расчетного диаметра рабочего шкива передачи. Диаметр натяжного шкива вне контура должен превышать диаметр меньшего рабочего шкива передачи не менее чем в 1,35 раза. При невыполнении этого условия коэффициент Ср (табл. 33 и 34) увеличивают на 0,1.
Натяжные шкивы должны обеспечивать необходимое регулирование длины контура клиноременной передачи.
Максимальная длина контура
Lmax≥ (1+2S1)Lp
Минимальная длина контура
Lmin≤ (1-2S2)Lp – 4Wp
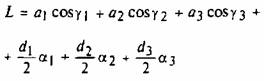
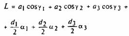
Расчетные формулы для определения геометрических параметров трехшкивных передач приведены в табл. 36.
Расчеты клиноременной передачи по мощности при двухшкивной схеме проводят по шкиву меньшего диаметра. При числе рабочих шкивов 3 и более расчеты по мощности проводят для ведущего шкива. Передача необходимой мощности на каждом из ведомых шкивов, угол обхвата или диаметр которых меньше, чем ведущего шкива, должна быть проверена дополнительно.

Рис. 13. Схемы расчета трехшкивных передач
Необходимое число ремней в приводе находят по формуле

где Р0 - номинальная мощность, кВт, передаваемая одним ремнем определенного сечения и длине при угле обхвата а = 180° и спокойном режиме работы (табл. 37-43); Cа - коэффициент угла обхвата (табл. 44);
СL - коэффициент, учитывающий длину ремня (табл. 45);
CК - коэффициент, учитывающий число ремней в передаче (табл. 46).
Номинальную мощность P0 в зависимости от сечения ремня, расчетных диаметров шкивов и частоты вращения следует выбирать по табл. 37-43. Для промежуточных частот вращения и передаточных чисел номинальную мощность вычисляют линейной интерполяцией.
Предварительное натяжение ветви одного ремня F0 (в Н) для передач с закрепленными центрами вычисляют по формуле

где mn - погонная масса ремня по ГОСТ 1284.1, кг/м;
Ср - коэффициент динамичности нагрузки и режима работы при односменной работе. Для передач с автоматическим натяжением расчет F0 ведется по первому члену правой части формулы (1).
Расчет предварительного натяжения ремней при других способах натяжения и проверку передач по тяговой способности проводят по РТМ 38.405-51/3-2-2.
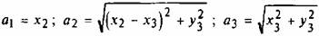
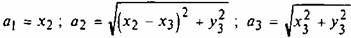
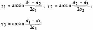
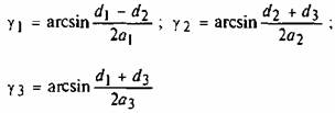
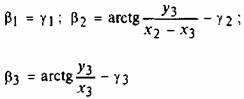
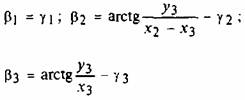
36. Геометрический расчет трехшкивной клиноременной передачи.
Исходные данные: диаметры шкивов d; координаты центров шкивов х, у (ГОСТ 1284.3-96)
Величина
Номер рисунка | Расчетная формула | |
Межцентровое расстояние | 13, а |
|
13, б |
| |
Углы наклона ветвей к линиям, соединяющим центры шкивов, рад | 13, а |
|
13, б |
| |
Углы наклона ветвей к оси х, рад | 13, а |
|
13, б |
| |
Углы обхвата шкивов, рад | 13, а |
|
13, б |
| |
Длина ремня | 13, а |
|
13, б |
|
37. Номинальная мощность, кВт, передаваемая одним ремнем 0, I и II классов сечения Z(O) при Lp = 1320мм
d1, мм | i | Частота вращения меньшего шкива, мин-1 | |||||||||||||||||
200 | 400 | 700 | 800 | 950 | 1200 | 1450 | 1600 | 2000 | 2400 | 2800 | 3200 | 3600 | 4000 | 4500 | 5000 | 5500 | 6000 | ||
63 | 1,00 | 0,09 | 0,17 | 0,27 | 0,30 | 0,34 | 0,41 | 0,48 | 0,51 | 0,61 | 0,70 | 0,78 | 0,85 | 0,91 | 0,97 | 1,03 | 1,07 | 1,10 | 1,11 |
1,05 | 0,10 | 0,17 | 0,27 | 0,31 | 0,35 | 0,42 | 0,49 | 0,53 | 0,63 | 0,72 | 0,80 | 0,88 | 0,94 | 1,00 | 1,06 | 1,11 | 1,14 | 1,15 | |
1,20 | 0,10 | 0,18 | 0,28 | 0,32 | 0,36 | 0,44 | 0,51 | 0,55 | 0,63 | 0,75 | 0,83 | 0,91 | 0,98 | 1,04 | 1,10 | 1,14 | 1,17 | 1,19 | |
1,50 | 0,10 | 0.19 | 0,29 | 0,33 | 0,38 | 0,45 | 0,53 | 0,57 | 0,67 | 0,77 | 0,86 | 0,94 | 1,01 | 1,07 | 1,13 | 1,18 | 1,21 | 1,23 | |
≥3,00 | 0,11 | 0,19 | 0,30 | 0,34 | 0,39 | 0,47 | 0,54 | 0,59 | 0,69 | 0,79 | 0,88 | 0,97 | 1,04 | 1,10 | 1,17 | 1,22 | 1,25 | 1,26 | |
71 | 1,00 | 0,11 | 0,20 | 0,33 | 0,37 | 0,42 | 0,51 | 0,59 | 0,64 | 0,76 | 0,88 | 0,98 | 1,07 | 1,15 | 1,22 | 1,29 | 1,35 | 1,38 | 1,39 |
1,05 | 0.12 | 0,21 | 0,34 | 0,38 | 0,44 | 0,53 | 0,61 | 0,66 | 0,79 | 0,91 | 1,01 | 1,11 | 1,19 | 1,27 | 1,34 | 1,39 | 1,43 | 1,44 | |
1,20 | 0,12 | 0,22 | 0,35 | 0,39 | 0,45 | 0,54 | 0,63 | 0,69 | 0,82 | 0,94 | 1,05 | 1,14 | 1,23 | 1,31 | 1,39 | 1,44 | 1,48 | 1,48 | |
1,50 | 0,13 | 0,23 | 0,36 | 0,40 | 0,46 | 0,56 | 0,66 | 0,71 | 0,84 | 0,97 | 1,08 | 1,18 | 1,27 | 1,35 | 1,43 | 1,49 | 1,52 | 1,53 | |
≥3.00 | 0,13 | 0,23 | 0,37 | 0,42 | 0,48 | 0,58 | 0,68 | 0,73 | 0,87 | 1,00 | 1,11 | 1,22 | 1,31 | 1,39 | 1,48 | 1,54 | 1,57 | 1,58 | |
80 | 1,00 | 0,14 | 0,25 | 0,40 | 0,44 | 0,51 | 0,62 | 0,72 | 0,78 | 0,93 | 1,07 | 1,20 | 1,31 | 1,41 | 1,49 | 1,57 | 1,60 | 1,65 | 1,65 |
1,05 | 0,14 | 0,25 | 0,41 | 0,46 | 0,53 | 0,64 | 0,75 | 0,81 | 0,97 | 1,11 | 1,24 | 1,34 | 1,46 | 1,54 | 1,63 | 1,68 | 1,71 | 1,71 | |
1,20 | 0,15 | 0,26 | 0,42 | 0,47 | 0,55 | 0,66 | 0,77 | 0,84 | 1,00 | 1,15 | 1,28 | 1,40 | 1,51 | 1,60 | 1,68 | 1,74 | 1,77 | 1,76 | |
1,50 | 0,15 | 0,27 | 0,44 | 0,49 | 0,56 | 0,68 | 0,80 | 0,86 | 1,03 | 1,18 | 1,32 | 1,45 | 1,56 | 1,65 | 1,74 | 1,80 | 1,83 | 1,82 | |
≥3,00 | 0,15 | 0,28 | 0,45 | 0,50 | 0,58 | 0,71 | 0,82 | 0,89 | 1,06 | 1,22 | 1,36 | 1,49 | 1,60 | 1,70 | 1,79 | 1,86 | 1,88 | 1,88 | |
90 | 1,00 | 0,16 | 0,29 | 0,47 | 0,53 | 0,61 | 0,74 | 0,86 | 0,94 | 1,12 | 1,28 | 1,43 | 1,56 | 1,67 | 1,77 | 1,85 | 1,90 | 1,90 | 1,86 |
1,05 | 0,17 | 0,30 | 0,49 | 0,54 | 0,62 | 0,77 | 0,89 | 0,97 | 1,16 | 1,33 | 1,48 | 1,62 | 1,73 | 1,83 | 1,91 | 1,96 | 1,97 | 1,93 | |
1,20 | 0,17 | 0,31 | 0,50 | 0,56 | 0,65 | 0,79 | 0,93 | 1,00 | 1,20 | 1,37 | 1,53 | 1,67 | 1,79 | 1,89 | 1,98 | 2,03 | 2,03 | 1,99 | |
1,50 | 0,18 | 0,32 | 0,52 | 0,58 | 0,67 | 0,82 | 0,96 | 1,03 | 1,23 | 1,42 | 1,58 | 1,73 | 1,85 | 1,95 | 2,04 | 2,09 | 2,10 | 2,06 | |
≥3,00 | 0,18 | 0,33 | 0,54 | 0,60 | 0,69 | 0,84 | 0,99 | 1,07 | 1,27 | 1,46 | 1,63 | 1,78 | 1,91 | 2,01 | 2,11 | 2,16 | 2,17 | 2,12 | |
100 | 1,00 | 0,18 | 0,34 | 0,54 | 0,61 | 0,71 | 0,86 | 1,00 | 1,09 | 1,30 | 1,49 | 1,65 | 1,80 | 1,92 | 2,01 | 2,09 | 2,11 | 2,08 | 2,00 |
1,05 | 0,19 | 0,35 | 0,56 | 0,63 | 0,78 | 0,89 | 1,04 | 1,13 | 1,34 | 1,54 | 1,71 | 1,86 | 1,99 | 2,08 | 2,16 | 2,19 | 2,16 | 2,07 | |
1,20 | 0,20 | 0,36 | 0,58 | 0,65 | 0,75 | 0,92 | 1,07 | 1,16 | 1,39 | 1,59 | 1,77 | 1,93 | 2,05 | 2,15 | 2,23 | 2,26 | 2,23 | 2,14 | |
1,50 | 0,20 | 0,37 | 0,60 | 0,67 | 0,78 | 0,95 | 1,11 | 1,20 | 1,43 | 1,64 | 1,83 | 1,99 | 2,12 | 2,22 | 2,31 | 2,34 | 2,30 | 2,21 | |
≥3.00 | 0,21 | 0,38 | 0,62 | 0,70 | 0,80 | 0,98 | 1,11 | 1,24 | 1,48 | 1,69 | 1,89 | 2,05 | 2,19 | 2,29 | 2,38 | 2,41 | 2,38 | 2,28 | |
112 и более | 1,00 | 0,21 | 0,39 | 0,63 | 0,71 | 0,82 | 1,00 | 1,17 | 1,26 | 1,51 | 1,72 | 1,91 | 2,06 | 2,19 | 2,27 | 2,32 | 2,30 | 2,21 |
|
1,05 | 0,22 | 0,40 | 0,65 | 0,73 | 0,85 | 1,03 | 1,21 | 1,31 | 1,56 | 1,78 | 1,97 | 2,14 | 2,26 | 2,35 | 2,40 | 2,38 | 2,29 | ||
1,20 | 0,23 | 0,42 | 0,68 | 0,76 | 0,88 | 1,07 | 1,25 | 1,35 | 1,61 | 1,84 | 2,04 | 2,21 | 2,34 | 2,43 | 2,48 | 2,46 | 2,36 | ||
1,50 | 0,23 | 0,43 | 0,70 | 0,78 | 0,91 | 1,10 | 1,29 | 1,40 | 1,66 | 1,90 | 2,11 | 2,28 | 2,42 | 2,51 | 2,57 | 2,54 | 2,44 | ||
≥3,00 | 0,24 | 0,44 | 0,72 | 0,81 | 0,94 | 1,14 | 1,33 | 1,44 | 1,72 | 1,96 | 2,17 | 2,35 | 2,49 | 2,59 | 2,65 | 2,63 | 2,52 | ||
r, м/с | 2 | 5 | 10 | 15 | 20 | 25 | 30 |
| |||||||||||
38. Номинальная мощность, кВт, передаваемая одним ремнем 0, I и II классов сечения А при Lp =1700мм
d1, мм | i | Частота вращения меньшего шкива, мин-1 | |||||||||||||||||
200 | 400 | 700 | 800 | 950 | 1200 | 1450 | 1600 | 1800 | 2000 | 2200 | 2400 | 2600 | 2800 | 3200 | 3600 | 4000 | 4500 | ||
90 | 1,00 | 0,22 | 0,39 | 0,61 | 0,68 | 0,77 | 0,93 | 1,07 | 1,15 | 1,24 | 1,34 | 1,42 | 1,50 | 1,58 | 1,64 | 1,75 | 1,83 | 1,87 | 1,88 |
1,05 | 0,23 | 0,40 | 0,63 | 0,70 | 0,80 | 0,96 | 1,10 | 1,19 | 1,29 | 1,38 | 1,47 | 1,56 | 1,63 | 1,70 | 1,81 | 1,89 | 1,94 | 1,94 | |
1,20 | 0,24 | 0,41 | 0,65 | 0,72 | 0,83 | 0,99 | 1,14 | 1,23 | 1,33 | 1,43 | 1,52 | 1,61 | 1,69 | 1,76 | 1,87 | 1,96 | 2,00 | 2,01 | |
1,50 | 0,24 | 0,43 | 0,67 | 0,75 | 0,85 | 1,02 | 1,18 | 1,27 | 1,38 | 1,48 | 1,57 | 1,66 | 1,74 | 1,82 | 1,94 | 2,02 | 2,07 | 2,07 | |
≥3,00 | 0,25 | 0,44 | 0,69 | 0,77 | 0,88 | 1,05 | 1,21 | 1,31 | 1,42 | 1,53 | 1,62 | 1,71 | 1,80 | 1,87 | 2,00 | 2,09 | 2,14 | 2,14 | |
100 | 1,00 | 0,26 | 0,47 | 0,74 | 0,83 | 0,95 | 1,14 | 1,32 | 1,42 | 1,54 | 1,66 | 1,77 | 1,87 | 1,97 | 2,05 | 2,19 | 2,28 | 2,34 | 2,33 |
1,05 | 0,27 | 0,48 | 0,77 | 0,85 | 0,98 | 1,18 | 1,36 | 1,47 | 1,60 | 1,72 | 1,83 | 1,94 | 2,04 | 2,12 | 2,26 | 2,36 | 2,42 | 2,42 | |
1,20 | 0,28 | 0,50 | 0,79 | 0,88 | 1,01 | 1,22 | 1,41 | 1,52 | 1,65 | 1,78 | 1,90 | 2,01 | 2,10 | 2,19 | 2,34 | 2,44 | 2,50 | 2,50 | |
1,50 | 0,29 | 0,52 | 0,82 | 0,91 | 1,05 | 1,25 | 1,45 | 1,57 | 1,71 | 1,84 | 1,96 | 2,07 | 2,17 | 2,27 | 2,42 | 2,52 | 2,58 | 2,58 | |
≥3,00 | 0,30 | 0,53 | 0,84 | 0,94 | 1,08 | 1,30 | 1,50 | 1,62 | 1,76 | 1,89 | 2,02 | 2,14 | 2,24 | 2,34 | 2,49 | 2,60 | 2,66 | 2,66 | |
112 | 1,00 | 0,31 | 0,56 | 0,90 | 1,00 | 1,15 | 1,39 | 1,61 | 1,74 | 1,89 | 2,04 | 2,18 | 2,30 | 2,41 | 2,51 | 2,68 | 2,78 | 2,83 | 2,79 |
1,05 | 0,32 | 0,58 | 0,93 | 1,04 | 1,19 | 1,44 | 1,67 | 1,80 | 1,96 | 2,11 | 2,25 | 2,38 | 2,50 | 2,60 | 2,77 | 2,88 | 2,93 | 2,89 | |
1,20 | 0,34 | 0,60 | 0,96 | 1,07 | 1,23 | 1,49 | 1,72 | 1,86 | 2,03 | 2,18 | 2,33 | 2,46 | 2,58 | 2,69 | 2,86 | 2,98 | 3,03 | 2,99 | |
1,50 | 0,35 | 0,62 | 0,99 | 1,11 | 1,27 | 1,54 | 1,78 | 1,92 | 2,09 | 2,25 | 2,40 | 2,54 | 2,67 | 2,78 | 2,96 | 3,08 | 3,13 | 3,09 | |
≥3,00 | 0,36 | 0,64 | 1,02 | 1,14 | 1,31 | 1,59 | 1,84 | 1,98 | 2,16 | 2,33 | 2,48 | 2,62 | 2,75 | 2,87 | 3,05 | 3,17 | 3,22 | 3,18 | |
v, м/с | 2 | 5 | 10 | 15 | 20 |
| |||||||||||||
125 | 1.00 | 0,37 | 0,(i 7 | 1,07 | 1,19 | 1,37 | 1,66 | 1,92 | 2,07 | 2,26 | 2.44 | 2,00 | 2,74 | 2,87 | 2,98 | 3,16 | 3,20 | 3,26 | 3,17 |
1,05 | 0,38 | 0,69 | 1,10 | 1,23 | 1,42 | 1,72 | 1,99 | 2,15 | 2,34 | 2,52 | 2,69 | 2,84 | 2,97 | 3,09 | 3,27 | 3,37 | 3.39 | 3,28 | |
1.20 | 0,39 | 0,71 | 1,14 | 1,28 | 1,47 | 1,77 | 2,06 | 2,22 | 2,42 | 2,61 | 2,78 | 2,93 | 3.07 | 3,19 | 3,38 | 3,49 | 3,51 | 3,39 | |
1,50 | 0,41 | 0,74 | 1,18 | 1,32 | 1,52 | 1,83 | 2,13 | 2,29 | 2,50 | 2,69 | 2,87 | 3,03 | 3,17 | 3,30 | 3,49 | 3,60 | 3,62 | 3,50 | |
≥3,00 | 0,42 | 0,76 | 1,22 | 1,36 | 1,57 | 1,89 | 2,19 | 2,36 | 2,58 | 2,78 | 2,96 | 3,12 | 3,27 | 3,40 | 3,60 | 3,72 | 3,74 | 3,62 | |
140 | 1,00 | 0,43 | 0,78 | 1,26 | 1,41 | 1,62 | 1,96 | 2,28 | 2,45 . | 2,67 | 2,87 | 3,06 | 3,22 | 3,36 | 3,48 | 3,65 | 3,79 | 3,67 | 3,44 |
1,05 | 0,45 | 0,81 | 1,30 | 1,46 | 1.68 | 2,03 | 2,36 | 2,54 | 2,76 | 2,97 | 3,16 | 3,33 | 3,48 | 3,60 | 3,78 | 3,85 | 3,80 | 3,56 | |
1,20 | 0,46 | 0,84 | 1,35 | 1,51 | 1,74 | 2,10 | 2,43 | 2,62 | 2,86 | 3,07 | 3,27 | 3,44 | 3,60 | 3,72 | 3,91 | 3,98 | 3,93 | 3,68 | |
1,50 | 0,48 | 0,86 | 1,39 | 1,56 | 1,79 | 2,17 | 2,51 | 2,71 | 2,95 | 3,17 | 3,38 | 3,56 | 3,71 | 3,85 | 4,03 | 4,11 | 4,06 | 3,80 | |
≥3,00 | 0,49 | 0,89 | 1,43 | 1,60 | 1,85 | 2,24 | 2,59 | 2,79 | 3,04 | 3,27 | 3,48 | 3,67 | 3,83 | 3,97 | 4,16 | 4,24 | 4,19 | 3,92 | |
160 | 1,00 | 0,51 | 0,94 | 1,51 | 1,69 | 1,95 | 2,36 | 2,73 | 2,94 | 3,19 | 3,42 | 3,63 | 3,80 | 3,95 | 4,06 | 4,19 | 4,17 |
| |
1,05 | 0,53 | 0,97 | 1,56 | 1,75 | 2,02 | 2,44 | 2,82 | '3,04 | 3,30 | 3,54 | 3,75 | 3,93 | 4,09 | 4,20 | 4,34 | 4,31 | |||
1,20 | 0,55 | 1,00 | 1,62 | 1.81 | 2,09 | 2,52 | 2,92 | 3,14 | 3,41 | 3,66 | 3,88 | 4,07 | 4,22 | 4,35 | 4,48 | 4,46 | |||
1,50 | 0,57 | 1,03 | 1.67 | 1,87 | 2,15 | 2,60 | 3,02 | 3,24 | 3,53 | 3,78 | 4,01 | 4,20 | 4,36 | 4,49 | 4,63 | 4,60 | |||
≥3,00 | 0,58 | 1,07 | 1,72 | 1,93 | 2,22 | 2,69 | 3,11 | 3,35 | 3,64 | 3,90 | 4,13 | 4,33 | 4,50 | 4,63 | 4,78 | 4,75 | |||
180 и более | 1,00 | 0,58 | 1,09 | 1,76 | 1,97 | 2,27 | 2,74 | 3,16 | 3,40 | 3,68 | 3,93 | 4,14 | 4,32 | 4,45 | 4,54 | 4,58 |
| ||
1,05 | 0,61 | 1,12 | 1,82 | 2,04 | 2,35 | 2,83 | 3,27 | 3,52 | 3,81 | 4,07 | 4,29 | 4,47 | 4,61 | 4,70 | 4,74 | ||||
1,20 | 0,63 | 1,16 | 1,88 | 2,10 | 2,43 | 2,93 | 3,38 | 3,63 | 3,94 | 4,20 | 4,43 | 4,62 | 4,76 | 4,86 | 4,90 | ||||
1,50 | 0,66 | 1,20 | 1,94 | 2,17 | 2,51 | 3,03 | 3,50 | 3,75 | 4,07 | 4,34 | 4,58 | 4,77 | 4,92 | 5,02 | 5,05 | ||||
≥3,00 | 0,68 | 1,24 | 2,00 | 2,24 | 2,59 | 3,12 | 3,61 | 3,87 | 4,19 | 4,48 | 4,72 | 4,92 | 5,07 | 5,18 | 5,22 | ||||
v, м/с | 2 | 5 | 10 | 15 | 20 | 25 | 30 |
| |||||||||||
39. Номинальная мощность, кВт, передаваемая одним ремнем 0, I и II классов сечения В(Б) при Lp =2240мм
d1, мм | i | Частота вращения меньшего шкива, мин-1 | |||||||||||||||||
200 | 300 | 400 | 500 | 600 | 700 | 800 | 950 | 1000 | 1200 | 1450 | 1600 | 1800 | 2000 | 2200 | 2400 | 2600 | 2900 | ||
125 | 1,00 | 0,48 | 0,67 | 0,84 | 1,00 | 1,16 | 1,30 | 1,44 | 1,64 | 1,70 | 1,93 | 2,19 | 2,33 | 2,50 | 2,64 | 2,76 | 2,85 | 2,92 | 2,96 |
1,05 | 0,50 | 0,69 | 0,87 | 1,04 | 1,20 | 1,35 | 1,49 | 1,69 | 1,76 | 2,00 | 2,27 | 2,41 | 2,59 | 2,73 | 2,86 | 2,95 | 3,02 | 3,06 | |
1,20 | 0,52 | 0,72 | 0,90 | 1,07 | 1,24 | 1,39 | 1,54 | 1,75 | 1,82 | 2,07 | 2,35 | 2,50 | 2,67 | 2,83 | 2,95 | 3,05 | 3,12 | 3,16 | |
1,50 | 0,53 | 0,74 | 0,93 | 1,11 | 1,28 | 1,44 | 1,59 | 1,81 | 1,88 | 2,13 | 2,42 | 2,58 | 2,76 | 2,92 | 3,05 | 3,15 | 3,22 | 3,27 | |
≥3,00 | 0,55 | 0,76 | 0,96 | 1,14 | 1,32 | 1,48 | 1,64 | 1,86 | 1,93 | 2,20 | 2,50 | 2,66 | 2,85 | 3,01 | 3,15 | 3,25 | 3,33 | 3,37 | |
140 | 1,00 | 0,59 | 0,83 | 1,05 | 1,26 | 1.45 | 1,64 | 1,82 | 2,08 | 2,16 | 2,47 | 2,82 | 3,00 | 3,23 | 3,42 | 3,58 | 3,70 | 3,79 | 3,85 |
1,05 | 0,61 | 0,86 | 1,09 | 1,30 | 1,50 | 1,70 | 1,89 | 2,15 | 2,24 | 2,56 | 2,91 | 3,11 | 3,34 | 3,54 | 3,70 | 3,83 | 3,93 | 3,98 | |
1,20 | 0,64 | 0,89 | 1,12 | 1,34 | 1,55 | 1,76 | 1,95 | 2,22 | 2,31 | 2,64 | 3,01 | 3,21 | 3,45 | 3,66 | 3,83 | 3,96 | 4,06 | 4,11 | |
1,50 | 0,66 | 0,92 | 1,16 | 1,39 | 1,61 | 1,81 | 2,01 | 2,30 | 2,39 | 2,72 | 3,10 | 3,32 | 3.56 | 3,78 | 3,95 | 4,09 | 4,19 | 4,25 | |
≥3,00 | 0,68 | 0,95 | 1,20 | 1,43 | 1,66 | 1,87 | 2,08 | 2,37 | 2,46 | 2,82 | 3,21 | 3,42 | 3,68 | 3,90 | 4,08 | 4,22 | 4,33 | 4,38 | |
160 | 1,00 | 0,74 | 1,04 | 1,32 | 1,59 | 1,84 | 2,09 | 2,32 | 2,66 | 2,76 | 3,17 | 3,62 | 3,80 | 4,15 | 4,40 | 4,60 | 4,75 | 4,85 | 4,89 |
1,05 | 0,76 | 1,08 | 1,37 | 1,64 | 1.91 | 2,16 | 2,40 | 2,75 | 2,86 | 3,28 | 3,75 | 4,00 | 4,30 | 4,55 | 4,76 | 4,91 | 5,02 | 5,06 | |
1,20 | 0,79 | 1,11 | 1,41 | 1,76 | 1,97 | 2,23 | 2,48 | 2,84 | 2,96 | 3,39 | 3,87 | 4,13 | 4,44 | 4,70 | 4,92 | 5,08 | 5,19 | 5,23 | |
1,50 | 0,82 | 1,15 | 1,46 | 1,75 | 2,04 | 2,31 | 2,57 | 2,94 | 3,05 | 3,50 | 4,00 | 4,27 | 4,59 | 4,86 | 5,08 | 5,25 | 5,35 | 5,40 | |
≥3,00 | 0,84 | 1,18 | 1,51 | 1,81 | 2,10 | 2,38 | 2,65 | 3,03 | 3,15 | 3,61 | 4,13 | 4,40 | 4,73 | 5,01 | 5,24 | 5,41 | 5,52 | 5,58 | |
180 | 1,00 | 0,88 | 1,25 | 1,59 | 1,91 | 2,23 | 2,53 | 2,81 | 3,22 | 3,35 | 3,85 | 4,39 | 4,68 | 5,02 | 5,30 | 5,52 | 5,67 | 5,75 | 5,76 |
1,05 | 0,91 | 1,29 | 1,64 | 1,98 | 2,30 | 2,61 | 2,91 | 3,33 | 3,47 | 3,98 | 4,55 | 4,85 | 5,20 | 5,49 | 5,71 | 5,87 | 5,95 | 5,96 | |
1,20 | 0,94 | 1,33 | 1,70 | 2,05 | 2,38 | 2,70 | 3,01 | 3,45 | 3,59 | 4,11 | 4,70 | 5,01 | 5,37 | 5,67 | 5,91 | 6,07 | 6,16 | 6,16 | |
1,50 | 0,98 | 1,38 | 1,76 | 2,12 | 2,46 | 2,79 | 3,11 | 3,56 | 3,70 | 4,25 | 4,85 | 5,17 | 5,55 | 5,86 | 6,10 | 6,27 | 6,36 | 6,36 | |
≥3,00 | 1,00 | 1,42 | 1,81 | 2,18 | 2,54 | 2,88 | 3,21 | 3,67 | 3,82 | 4,38 | 5,01 | 5,34 | 5,73 | 6,05 | 6,29 | 6,47 | 6,56 | 6,56 | |
v, м/с | 5 | 10 | 15 | 20 | 25 |
| |||||||||||||
200 | 1,00 | 1,02 | 1,45 | 1,85 | 2,24 | 2,60 | 2,96 | 3,30 | 3,77 | 3,93 | 4,50 | 5,13 | 5,46 | 5,83 | 6,13 | 6,35 | 6,47 | 6,50 | 6,43 |
1,05 | 1,06 | 1,50 | 1,92 | 2,32 | 2,70 | 3,06 | 3,41 | 3,91 | 4,07 | 4,66 | 5,31 | 5,65 | 6,04 | 6,35 | 6,57 | 6,70 | 6,73 | 6,66 | |
1,20 | 1,10 | 1,55 | 1,98 | 2,39 | 2,79 | 3,16 | 3,53 | 4,04 | 4,20 | 4,82 | 5,49 | 5,84 | 6,24 | 6,56 | 6,79 | 6,93 | 6,90 | 6,88 | |
1,50 | 1,13 | 1,60 | 2,05 | 2,47 | 2,88 | 3,27 | 3,64 | 4,17 | 4,34 | 4,97 | 5,67 | 6,03 | 6,45 | 6,78 | 7,01 | 7,15 | 7,19 | 7,11 | |
≥3,00 | 1,17 | 1,65 | 2.11 | 2,55 | 2,97 | 3,37 | 3,76 | 4,30 | 4,48 | 5,13 | 5,85 | 6,22 | 6,65 | 6,99 | 7,24 | 7,42 | 7,45 | 7,33 | |
224 | 1,00 | 1,19 | 1,67 | 2,17 | 2,62 | 3,05 | 3,47 | 3,86 | 4,42 | 4,60 | 5,26 | 5,97 | 6,33 | 6,73 | 7,02 | 7,19 | 7,25 | 7,17 |
|
1,05 | 1,24 | 1,75 | 2,24 | 2,71 | 3.16 | 3,59 | 4,00 | 4,58 | 4,76 | 5,44 | 6,18 | 6,55 | 6,96 | 7,26 | 7,49 | 7,55 | 7,47 | ||
1,20 | 1,28 | 1,81 | 2,32 | 2,80 | 3,27 | 3,71 | 4,13 | 4,73 | 4,92 | 5,63 | 6,39 | 6,77 | 7,20 | 7,55 | 7,74 | 7,80 | 7,72 | ||
1,50 | 1,32 | 1,87 | 2,40 | 2,89 | 3,37 | 3,83 | 4,27 | 4,89 | 5,08 | 5,81 | 6,60 | 7,00 | 7,48 | 7,80 | 8,00 | 8,08 | 7,97 | ||
≥3,00 | 1,36 | 1,93 | 2,47 | 2,99 | 3.48 | 3,95 | 4,40 | 5,04 | 5,24 | 6,00 | 6,81 | 7,22 | 7,71 | 8,05 | 8,25 | 8,31 | 8,22 | ||
250 | 1,00 | 1,37 | 1,95 | 2,50 | 3,03 | 3,53 | 4,00 | 4,46 | 5,10 | 5,30 | 6,04 | 6,82 | 7,20 | 7,63 | 7,87 | 7,97 | 7,89 |
| |
1,05 | 1,42 | 2,02 | 2,59 | 3,13 | 3,65 | 4,14 | 4,62 | 5,28 | 5,49 | 6,25 | 7,06 | 7,49 | 7,89 | 8,16 | 8,24 | 8,10 | |||
1,20 | 1,47 | 2,09 | 2,68 | 3,24 | 3,77 | 4,28 | 4,77 | 5,46 | 5,67 | 6,47 | 7,30 | 7,74 | 8,16 | 8,42 | 8,52 | 8,44 | |||
1,50 | 1,52 | 2,16 | 2,77 | 3,34 | 3,90 | 4,42 | 4,93 | 5,63 | 5,86 | 6,68 | 7,58 | 8,00 | 8,43 | 8,70 | 8,80 | 8,71 | |||
≥3,00 | 1,57 | 2,23 | 2,85 | 3,45 | 4.02 | 4,56 | 5,08 | 5,81 | 6,04 | 6,89 | 7,82 | 8,25 | 8,69 | 8,97 | 9,07 | 8,99 | |||
280 и более | 1,00 | 1,58 | 2,25 | 2,89 | 3,49 | 4,06 | 4,61 | 5,13 | 5,85 | 6,08 | 6,90 | 7,76 | 8,13 | 8,46 | 8,60 | 8,53 |
| ||
1,05 | 1,64 | 2,33 | 2,99 | 3,61 | 4,21 | 4,77 | 5,31 | 6,06 | 6,29 | 7,14 | 8,03 | 8,41 | 8,76 | 8,90 | 8,83 | ||||
1,20 | 1,69 | 2,41 | 3,09 | 3,73 | 4,35 | 4,93 | 5,49 | 6,26 | 6,50 | 7,42 | 8,30 | 8,69 | 9,05 | 9,20 | 9,12 | ||||
1,50 | 1,75 | 2,49 | 3,19 | 3,86 | 4.49 | 5,10 | 5,67 | 6,47 | 6,72 | 7,66 | 8,57 | 8,97 | 9,35 | 9,50 | 9,42 | ||||
≥3,00 | 1,80 | 2,57 | 3,29 | 3,96 | 4.63 | 5.26 | 5,85 | 6,67 | 6,93 | 7,91 | 8,84 | 9,26 | 9,64 | 9,80 | 9,72 | ||||
v, м/с | 5 | 10 | 15 | 20 | 25 | 30 |
| ||||||||||||
40. Номинальная мощность, кВт, передаваемая одним ремнем 0, I и II классов сечения С(В) при Lр = 3750мм
d1, мм | i | Частота вращения меньшего шкива, мин-1 | ||||||||
50 | 100 | 200 | 300 | 400 | 500 | 600 | 700 | 800 | ||
200 | 1,00 | 0,44 | 0,79 | 1,39 | 1,92 | 2,41 | 2,87 | 3,30 | 3,69 | 4,07 |
1,05 | 0,46 | 0,81 | 1,44 | 1,99 | 2,50 | 2,97 | 3,41 | 3,82 | 4,21 | |
1,20 | 0,47 | 0,84 | 1,48 | 2,06 | 2,58 | 3,07 | 3,53 | 3,95 | 4,35 | |
1,50 | 0,49 | 0,87 | 1,53 | 2,12 | 2,67 | 3,17 | 3,64 | 4,08 | 4,49 | |
≥3,00 | 0,51 | 0,90 | 1,58 | 2,19 | 2,75 | 3,27 | 3,76 | 4,21 | 4,64 | |
224 | 1,00 | 0,53 | 0,95 | 1,70 | 2,37 | 2,99 | 3,58 | 4,12 | 4,64 | 5,12 |
1,05 | 0,55 | 0,99 | 1,76 | 2,45 | 3,10 | 3,70 | 4,27 | 4,80 | 5,30 | |
1,20 | 0,57 | 1,02 | 1,82 | 2,54 | 3,20 | 3,83 | 4,41 | 4,96 | 5,47 | |
1,50 | 0,59 | 1,05 | 1,88 | 2,62 | 3,31 | 3,95 | 4,56 | 5,12 | 5,65 | |
≥3,00 | 0,61 | 1,09 | 1,94 | 2,70 | 3,41 | 4,08 | 4,70 | 5,29 | 5,83 | |
250 | 1,00 | 0,63 | 1,13 | 2,03 | 2,85 | 3,62 | 4,33 | 5,00 | 5,64 | 6,23 |
1,05 | 0,65 | 1,17 | 2,11 | 2,95 | 3,74 | 4,48 | 5,18 | 5,83 | 6,45 | |
1,20 | 0,67 | 1,21 | 2,18 | 3,05 | 3,87 | 4,64 | 5,35 | 6,03 | 6,66 | |
1,50 | 0,69 | 1,25 | 2,25 | 3,15 | 4,00 | 4,79 | 5,53 | 6,23 | 6,88 | |
≥3,00 | 0,71 | 1,29 | 2,32 | 3,25 | 4,12 | 4,94 | 5,71 | 6,43 | 7,10 | |
280 | 1,00 | 0,74 | 1,34 | 2,42 | 3,40 | 4,32 | 5,19 | 6,00 | 6,76 | 7,52 |
1,05 | 0,76 | 1,38 | 2,50 | 3,52 | 4,48 | 5,37 | 6,21 | 7,00 | 7,78 | |
1,20 | 0,79 | 1,43 | 2,59 | 3,64 | 4,63 | 5,55 | 6,42 | 7,24 | 8,04 | |
1,50 | 0,81 | 1,48 | 2,67 | 3,76 | 4,78 | 5,73 | 6,63 | 7,52 | 8,30 | |
≥3,00 | 0,84 | 1,52 | 2,76 | 3,88 | 4,93 | 5,92 | 6,84 | 7,76 | 8,57 | |
315 | 1,00 | 0,86 | 1,57 | 2,86 | 4,04 | 5,14 | 6,17 | 7,14 | 8,09 | 8,92 |
1,05 | 0,89 | 1,63 | 2,96 | 4,18 | 5,32 | 6,39 | 7,43 | 8,37 | 9,24 | |
1,20 | 0,92 | 1,68 | 3,06 | 4,32 | 5,50 | 6,60 | 7,68 | 8,65 | 9,55 | |
1,50 | 0,95 | 1,74 | 3,16 | 4,46 | 5,68 | 6,82 | 7,93 | 8,93 | 9,86 | |
≥3,00 | 0,98 | 1,79 | 3,26 | 4,60 | 5,86 | 7,03 | 8,18 | 9,21 | 10,17 | |
355 | 1,00 | 1,00 | 1,84 | 3,36 | 4,75 | 6,05 | 7,27 | 8,45 | 9,50 | 10,46 |
1,05 | 1,05 | 1,90 | 3,47 | 4,91 | 6,26 | 7,57 | 8,74 | 9,83 | 10,83 | |
1,20 | 1,07 | 1,97 | 3,59 | 5,08 | 6,47 | 7,82 | 9,04 | 10,16 | 11,19 | |
1,50 | 1,11 | 2,03 | 371 | 5,25 | 6,69 | 8,08 | 9,33 | 10,49 | 11,56 | |
≥3,00 | 1,14 | 2,10 | 3,82 | 5,41 | 6,90 | 8,33 | 9,62 | 10,82 | 11,92_ | |
400 | 1,00 | 1,16 | 2,13 | 3,91 | 5,54 | 7,06 | 8,52 | 9,82 | 11,02 | 12,10 |
1,05 | 1,20 | 2,21 | 4,04 | 5,73 | 7,30 | 8,81 | 10,71 | 11,41 | 12,52 | |
1,20 | 1,24 | 2,29 | 4,18 | 5,93 | 7,60 | 9,11 | 10,51 | 11,79 | 12,94 | |
1,50 | 1,28 | 2,36 | 4,32 | 6,12 | 7,84 | 9,41 | 10,85 | 12,17 | 13,37 | |
≥3,00 | 1,32 | 2,43 | 4,45 | 6,31 | 8,09 | 9,70 | 11,19 | 12,56 | 13,79 | |
450 и более | 1,00 | 1,33 | 2,46 | 4.51 | 6,40 | 8,20 | 9,81 | 11,29 | 12,63 | 13,80 |
1.05 | 1,38 | 2,56 | 4,67 | 6,62 | 8,48 | 10,16 | 11.69 | 13,07 | 14,28 | |
1,20 | 1,43 | 2,63 | 4,83 | 6,85 | 8,77 | 10,50 | 12,08 | 13,51 | 14,76 | |
1,50 | 1,47 | 2,72 | 4,99 | 7,07 | 9,05 | 10,84 | 12,48 | 13,95 | 15,24 | |
≥3,00 | 1,52 | 2,80 | 5,15 | 7,30 | 9,34 | 11,18 | 12,87 | 14,39 | 15,72 | |
r, м/с | 5 | 10 | 15 |
| ||||||
Продолжение табл. 40
d1, мм | i | Частота вращения меньшего шкива, мин-1 | ||||||||
950 | 1000 | 1100 | 1200 | 1300 | 1450 | 1600 | 1800 | 2000 | ||
200 | 1,00 | 4,58 | 4,73 | 5,03 | 5,29 | 5,53 | 5,84 | 6,07 | 6,28 | 6,34 |
1,05 | 4,74 | 4,90 | 5,20 | 5,48 | 5,73 | 6,04 | 6,29 | 6,50 | 6,57 | |
1,20 | 4,90 | 5,06 | 5,38 | 5,66 | 5,92 | 6,25 | 6,50 | 6,72 | 6,79 | |
1,50 | 5,06 | 5,23 | 5,55 | 5,85 | 6,11 | 6,45 | 6,71 | 6,94 | 7,01 | |
≥3,00 | 5,22 | 5,40 | 5,73 | 6,03 | 6,31 | 6,66 | 6,93 | 7,16 | 7,23 | |
224 | 1,00 | 5,78 | 5,98 | 6,36 | 6,71 | 7,01 | 7,45 | 7,75 | 8,00 | 8,00 |
1,05 | 5,98 | 6,19 | 6,58 | 6,94 | 7,26 | 7,71 | 8,02 | 8,28 | 8,35 | |
1,20 | 6,18 | 6,40 | 6,81 | 7,18 | 7,55 | 7,97 | 8,29 | 8,56 | 8,63 | |
1,50 | 6,38 | 6,61 | 7,03 | 7,45 | 7,80 | 8,23 | 8.56 | 8,84 | 8,91 | |
≥3,00 | 6,58 | 6,82 | 7,25 | 7,69 | 8,04 | 8,49 | 8,83 | 9,12 | 9,19 | |
250 | 1,00 | 7,04 | 7,29 | 7,79 | 8,21 | 8,58 | 9,04 | 9,38 | 9,63 | 9,62 |
1,05 | 7,28 | 7,59 | 8,07 | 8,50 | 8,88 | 9,36 | 9,71 | 9,96 | 9,95 | |
1,20 | 7,58 | 7,84 | 8,34 | 8,78 | 9,18 | 9,67 | 10,03 | 10,30 | 10,29 | |
1,50 | 7,82 | 8,10 | 8,64 | 9,07 | 9,48 | 9,99 | 10,36 | 10,63 | 10,62 | |
≥3,00 | 8,07 | 8,35 | 8,88 | 9,36 | 9,78 | 10,30 | 10,69 | 10,97 | 10,96 | |
280 | 1,00 | 8,49 | 8,78 | 9,32 | 9,81 | 10,22 | 10,72 | 11,00 | 11,22 | 11,04 |
1,05 | 8,78 | 9,06 | 9,65 | 10,15 | 10,58 | 11,10 | 11,44 | 11,61 | 11,42 | |
1,20 | 9,08 | 9,39 | 9,97 | 10,49 | 10,94 | 11,47 | 11,83 | 12,00 | 11,81 | |
1,50 | 9,37 | 9,70 | 10,30 | 10,83 | 11,29 | 11,84 | 12,21 | 12,39 | 12,19 | |
≥3,00 | 9,67 | 10,00 | 10,62 | 11,17 | 11,65 | 12,22 | 12,60 | 12,79 | 12,58 | |
315 | 1,00 | 10,05 | 10,38 | 11,00 | 11,53 | 11,97 | 12,46 | 12,72 | 12,67 | 12,14 |
1,05 | 10,40 | 10,75 | 11,38 | 11,93 | 12,39 | 12,89 | 13,16 | 13,11 | 12,56 | |
1.20 | 10.75 | 11,11 | 11,76 | 12.33 | 12,81 | 13.33 | 13,60 | 13.56 | 12,99 | |
1,50 | 11,10 | 11,47 | 12,15 | 12,73 | 13,22 | 13,76 | 14,05 | 14,00 | 13,41 | |
≥3,00 | 11,45 | 11,83 | 12,53 | 13,14 | 13,64 | 14,20 | 14,49 | 14,44 | 13,83 | |
355 | 1,00 | 11,73 | 12,10 | 12,76 | 13,31 | 13,73 | 14,12 | 14,19 | 13,73 |
|
1,05 | 12,14 | 12,52 | 13,20 | 13,77 | 14,21 | 14,61 | 14,68 | 14,21 | ||
1,20 | 12,55 | 12,94 | 13,65 | 14 23 | 14.69 | 15,10 | 15,18 | 14,69 | ||
1,50 | 12,95 | 13,36 | 14,09 | 14,70 | 15,17 | 15,59 | 15.67 | 15,17 | ||
≥3,00 | 13,36 | 13.79 | 14,54 | 15,16 | 15,64 | 16,09 | 16,17 | 15,65 | ||
400 | 1,00 | 13,48 | 13.86 | 14,53 | 15,04 | 15,37 | 15,53 |
| ||
1,05 | 13,95 | 14.35 | 15,04 | 15,56 | 15,91 | 16,07 | ||||
1,20 | 14,42 | 14.83 | 15,24 | 16,08 | 16,44 | 16,61 | ||||
1,50 | 14,89 | 15,32 | 16.05 | 16,61 | 16,98 | 17,15 | ||||
≥3,00 | 15,36 | 15,80 | 16,56 | 17,13 | 17,52 | 17,70 | ||||
450 и более | 1.00 | 15,23 | 15,61 | 16,21 | 16,59 | 16,74 |
| |||
1,05 | 15,76 | 16,15 | 16,78 | 17,17 | 17,32 | |||||
-1,20 | 16,29 | 16,70 | 17,34 | 17,75 | '7,90 | |||||
1,50 | 16,82 | 17,24 | 17.91 | 18.33 | 18:49 | |||||
≥3,00 | 17,35 | 17,78 | 18,47 | 18.91 | 19,07 | |||||
r, м/с | 20 | 25 | 30 |
| ||||||
41. Номинальная мощность, кВт, передаваемая одним ремнем 0, I и II классов сечения D(I) при Lр=6000мм
d1, мм | i | Частота вращения меньшего шкива, мин-1 | |||||||||
50 | 100 | 150 | 200 | 250 | 300 | 350 | 400 | 450 | 500 | ||
355 | 1,00 | 1,69 | 3,01 | 4,20 | 5,31 | 6,36 | 7,35 | 8,34 | 9,24 | 10,09 | 10,90 |
1,05 | 1,75 | з,и | 4,35 | 5,50 | 6,58 | 7,65 | 8,63 | 9,56 | 10,44 | 11,28 | |
1,20 | 1,81 | 3,22 | 4,50 | 5,69 | 6,81 | 7,91 | 8,92 | 9,88 | 10,79 | 11,66 | |
1,50 | 1,87 | 3,32 | 4,64 | 5,87 | 7,03 | 8,17 | 9,21 | 10,20 | 11,14 | 12,04 | |
≥3,00 | 1,92 | 3,43 | 4,79 | 6,06 | 7,25 | 8,43 | 9,50 | 10,52 | 11,50 | 12,42 | |
400 | 1,00 | 2,03 | 3.66 | 5,14 | 6,52 | 7,88 | 9,13 | 10,32 | 11,45 | 12,52 | 13,55 |
1,05 | 2,10 | 3,79 | 5,32 | 6,75 | 8,16 | 9,45 | 10,68 | 11,85 | 12,96 | 14,02 | |
1,20 | 2,18 | 3,91 | 5,50 | 6.98 | 8,43 | 9,76 | 11,03 | 12,25 | 13,40 | 14,49 | |
1,50 | 2,25 | 4,04 | 5,68 | 7,21 | 8,70 | 10,08 | 11,39 | 12.64 | 13,83 | 14,96 | |
≥3,00 | 2,32 | 4,17 | 5,86 | 7,48 | 8,98 | 10,40 | 11,75 | 13,04 | 14,27 | 15,44 | |
450 | 1,00 | 2,41 | 4,37 | 6,17 | 7.90 | 9,50 | 11,20 | 12,47 | 13,85 | 15,16 | 16,40 |
1,05 | 2,50 | 4,52 | 6,38 | 8,17 | 9,83 | 11,49 | 12,91 | 14.33 | 15,69 | 16,98 | |
1,20 | 2,58 | 4,68 | 6,60 | 8.45 | 10,16 | 11,79 | 13,34 | 14,82 | 16,22 | 17,55 | |
1,50 | 2,67 | 4,83 | 6,81 | 8,72 | 10,49 | 12,17 | 13,78 | 15,30 | 16,75 | 18,12 | |
≥3,00 | 2,75 | 4,98 | 7,03 | 9,00 | 10.82 | 12,56 | 14,21 | 15.78 | 17,28 | 18,69 | |
500 | 1,00 | 2.79 | 5,08 | 7.18 | 9,21 | 11,09 | 12,88 | 14.58 | 16,20 | 17.73 | 19,17 |
1,05 | 2,89 | 5,25 | 7.48 | 9,53 | 11,48 | 13,33 | 15,09 | 16,77 | 18,35 | 19,84 | |
1,20 | 2.99 | 5,43 | 7,73 | 9,85 | 11.86 | 13,78 | 15,60 | 17,33 | 18,97 | 20,51 | |
1,50 | 3,08 | 5,61 | 7,98 | 10,17 | 12,25 | 14,23 | 16,11 | 17,90 | 19,59 | 21,18 | |
≥3,00 | 3,18 | 5,79 | 8,23 | 10,49 | 12,64 | 14,68 | 16,62 | 18,46 | 20,21 | 21,85 | |
560 | 1,00 | 3,24 | 5,91 | 8,43 | 10,76 | 12,97 | 15,07 | 17,06 | 18,95 | 20,72 | 22,38 |
1,05 | 3,35 | 6,12 | 8,72 | 11,14 | 13,42 | 15,60 | 17,66 | 19,61 | 21,44 | 23,16 | |
1,20 | 3,46 | 6,33 | 9,02 | 11,51 | 13,88 | 16.12 | 18,25 | 20,27 | 22,17 | 23,94 | |
1,50 | 3,58 | 6,53 | 9,31 | 11,89 | 14,33 | 16,65 | 18,85 | 20,93 | 22,89 | 24,72 | |
≥3,00 | 3,69 | 6,74 | 9,60 | 12,26 | 14.78 | 17,17 | 19,45 | 21,59 | 23,61 | 25,50 | |
630 | 1,00 | 3,75 | 6,88 | 9,82 | 12,54 | 15.13 | 17,57 | 19.88 | 22,05 | 24.07 | 25,94 |
1,05 | 3,88 | 7,12 | 10.16 | 12.98 | 15.65 | 18,18 | 20.57 | 22,82 | 24,91 | 26,84 | |
1,20 | 4,02 | 7.36 | 10.50 | 13,42 | 16.18 | 18.80 | 21,27 | 23,59 | 25.75 | 27,75 | |
1,50 | 4,15 | 7.65 | 10.84 | 13,86 | 16,71 | 19,41 | 21,96 | 24,36 | 26,59 | 28,66 | |
≥3,00 | 4.28 | 7.89 | 11,19 | 14,29 | 17,24 | 20,02 | 22,66 | 25,13 | 27,43 | 29.56 | |
710 | 1,00 | 4,34 | 8.01 | 11,38 | 14,55 | 17,54 | 20,35 | 22,99 | 25,45 | 27,71 | 29,76 |
1,05 | 4,49 | 8,29 | 11,78 | 15.05 | 18,15 | 21,06 | 23,80 | 26,34 | 28,68 | 30,80 | |
1,20 | 4,64 | 8,57 | 12,17 | 15,56 | 18.75 | 21,78 | 24,60 | 27,23 | 29,64 | 31,84 | |
1,50 | 4,79 | 8,85 | 12,57 | 16,07 | 19.37 | 22,49 | 25,40 | 28,12 | 30,61 | 32.88 | |
≥3,00 | 4,94 | 9,13 | 12.97 | 16,58 | 19.99 | 23.20 | 26,21 | 29,01 | 31,58 | 33,92 | |
800 и более | 1,00 | 4,99 | 9.22 | 13.11 | 16,76 | 20.18 | 23.39 | 26,36 | 29,08 | 31,55 | 33,72 |
1,05 | 5.16 | 9.55 | 13.57 | 17.34 | 20,89 | 24.20 | 27,28 | 30,10 | 32,65 | 34.90 | |
1,20 | 5,33 | 9.87 | 14,03 | 17.93 | 21,59 | 25,02 | 28,20 | 31.12 | 33,75 | 36,08 | |
1.50 | 5.51 | 10.19 | 14.48 | 18.51 | 22.30 | 25,84 | 29.12 | 32.13 | 34.85 | 37.26 | |
≥3,00 | 5,68 | 10,51 | 14,94 | 19.10 | 23,00 | 26.66 | 30,04 | 33,15 | 35,96 | 38,44 | |
v, м/с | 5 | 10 | 15 | 20 |
| ||||||
Продолжение табл. 41
d1, мм | i | Частота вращения меньшего шкива, мин-1 | |||||||
550 | 600 | 700 | 800 | 950 | 1000 | 1100 | 1200 | ||
355 | 1,00 | 11,67 | 12,39 | 13,70 | 14,83 | 16,15 | 16,48 | 16,98 | 17,25 |
1,05 | 12,07 | 12,82 | 14,18 | 15,35 | 16,71 | 17,06 | 17,58 | 17,85 | |
1,20 | 12,48 | 13,25 | 14,66 | 15,86 | 17,28 | 17,63 | 18,17 | 18,45 | |
1,50 | 12,89 | 13,68 | 15,13 | 16,38 | 17,84 | 18,21 | 18,76 | 19,06 | |
≥3,00 | 13,29 | 14,12 | 15,61 | 16,90 | 18,40 | 18,78 | 19,36 | 19,66 | |
400 | 1,00 | 14,51 | 15,42 | 17,07 | 18,46 | 20.06 | 20,45 | 20,90 | 21.20 |
1,05 | 15,02 | 15,96 | 17,66 | 19,11 | 20,76 | 21,16 | 21,72 | 21,94 | |
1,20 | 15,52 | 16,50 | 18,26 | 19,75 | 21,46 | 21,87 | 22,45 | 22,68 | |
1,50 | 16,03 | 17,04 | 18,85 | 20,40 | 22,16 | 22,59 | 23,19 | 23,42 | |
≥3,00 | 16,54 | 17,57 | 19,45 | 21,04 | 22,86 | 23,30 | 23,92 | 24,16 | |
450 | 1,00 | 17,57 | 18,67 | 20,63 | 22,25 | 24,01 | 24,39 | 24,84 | 24,84 |
1,05 | 18,19 | 19,32 | 21,35 | 23,03 | 24,84 | 25,24 | 25,71 | 25,71 | |
1,20 | 18,80 | 19,97 | 22,07 | 23,81 | 25,68 | 26,10 | 26,58 | 26,58 | |
1,50 | 19,41 | 20,62 | 22,79 | 24,58 | 26,52 | 26,95 | 27,45 | 27,44 | |
≥3,00 | 20,03 | 21,28 | 23,51 | 25,36 | 27,36 | 27,80 | 28,32 | 28,31 | |
500 | 1,00 | 20,53 | 21,78 | 23,90 | 25,76 | 27,50 | 27,82 | 28,02 | 27,61 |
1,05 | 21,24 | 22,54 | 24,82 | 26,66 | 28,46 | 28,79 | 29,00 | 28,57 | |
1,20 | 21.96 | 23,30 | 25,66 | 27,56 | 29,42 | 29,76 | 29,98 | 24,54 | |
1,50 | 22,68 | 24,06 | 26,50 | 28,45 | 30,38 | 30,73 | 30,96 | 30,50 | |
≥3,00 | 23,39 | 24,82 | 27,34 | 29,35 | 31,34 | 31,70 | 31,94 | 31.47 | |
560 | 1,00 | 23,91 | 25,32 | 27,73 | 29.55 | 31,04 | 31,17 | 30,85 |
|
1,05 | 24,75 | 26,21 | 28,70 | 30,59 | 32,13 | 32,26 | 31,92 | ||
1,20 | 25,58 | 27,09 | 29,67 | 31,62 | 33,21 | 33,35 | 33,00 | ||
1,50 | 26,42 | 27,98 | 30,64 | 32,65 | 34,30 | 34,44 | 34,08 | ||
≥3,00 | 27,25 | 28,86 | 31,61 | 33,68 | 35,38 | 35,53 | 35.16 | ||
630 | 1,00 | 27,64 | 29,18 | 31,68 | 33,38 | 34,19 |
| ||
1,05 | 28,61 | 30,19 | 32.79 | 34,54 | 35,38 | ||||
1,20 | 29,57 | 31.21 | 33.90 | 3571 | 36.58 | ||||
1,50 | 30,54 | 32,23 | 3501 | 36,88 | 37,78 | ||||
≥3,00 | 31,51 | 33,25 | 36,11 | 38,04 | 38,97 | ||||
710 | 1,00 | 31,59 | 33,18 | 35,59 | 36,87 | 36,35 | |||
1.05 | 32.69 | 34,34 | 36,83 | 38,16 | 37,62 | ||||
1,20 | 33,80 | 35,50 | 38.08 | 39,44 | 38,90 | ||||
1,50 | 34.90 | 36,66 | 39,32 | 40,73 | 40,17 | ||||
≥3,00 | 36,00 | 37,82 | 40,57 | 42,02 | 41,44 | ||||
800 и более | 1,00 | 35,59 | 37,13 | 39,14 | 39,55 |
| |||
1,05 | 36,83 | 38,43 | 40,51 | 40,94 | |||||
1,20 | 38,08 | 39,73 | 41.88 | 42,32 | |||||
1.50 | 39.32 | 41,03 | 43,25 | 43.70 | |||||
≥3,00 | 40,57 | 42.33 | 44,61 | 45,08 | |||||
v, м/c | 25 | 30 |
| ||||||
42. Номинальная мощность, кВт, передаваемая одним ремнем 0, I и II классов сечения Е(Д) при Lp=7100мм
d1, мм | i | Частота вращения меньшего шкива, мин-1 | ||||||||
50 | 100 | 150 | 200 | 250 | 300 | 350 | 400 | 450 * | ||
500 | 1,00 | 3,42 | 6,12 | 8,60 | 10,86 | 12,97 | 14,96 | 16,81 | 18,55 | 20,16 |
1,05 | 3,54 | 6,33 | 8,90 | 11.24 | 13,42 | 15,48 | 17,40 | 19,20 | 20,87 | |
1,20 | 3,66 | 6,54 | 9,20 | 11,61 | 13,88 | 16,00 | 17,99 | 19,85 | 21,57 | |
1,50 | 3,78 | 6,76 | 9,50 | 11,99 | 14,33 | 16,52 | 18,58 | 20,49 | 22,28 | |
≥3,00 | 3,90 | 6,97 | 9,79 | 12,37 | 14,78 | 17,04 | 19,16 | 21,14 | 22,98 | |
560 | 1,00 | 4,06 | 7.32 | 10.33 | 13,09 | 15,67 | 18,10 | 20,38 | 22,49 | 24,45 |
1,05 | 4,20 | 7,62 | 10,69 | 13,54 | 16,22 | 18,73 | 21,09 | 23,28 | 25,31 | |
1,20 | 4,35 | 7,87 | 11,05 | 14,00 | 16,77 | 19,37 | 21,80 | 24,07 | 26,16 | |
1,50 | 4,49 | 8,13 | 11,41 | 14,46 | 17,31 | 20,00 | 22,51 | 24,85 | 27,02 | |
≥3,00 | 4,63 | 8,39 | 11,77 | 14,91 | 17,86 | 20,63 | 23,22 | 25,64 | 27,87 | |
630 | 1,00 | 4,80 | 8,75 | 12,32 | 15,65 | 18,77 | 21,69 | 24,42 | 26,95 | 29,26 |
1,05 | 4,97 | 9,05 | 12,75 | 16,19 | 19,42 | 22,45 | 25,27 | 27,89 | 30,29 | |
1,20 | 5,14 | 9,36 | 13,18 | 16,74 | 20,08 | 23,21 | 26,13 | 28,83 | 31,31 | |
1,50 | 5,31 | 9.66 | 13.61 | 17,28 | 20,73 | 23,96 | 26,98 | 29,77 | 32,33 | |
≥3,00 | 5,48 | 9,97 | 14,04 | 17,83 | 21,39 | 24,72 | 27,83 | 30,71 | 33,35 | |
710 | 1,00 | 5,64 | 10,31 | 14,56 | 18,52 | 22,23 | 25,69 | 28,89 | 31,33 | 34,49 |
1,05 | 5,84 | 10,67 | 15,07 | 19,17 | 23,01 | 26,59 | 29,90 | 32,94 | 35,69 | |
1,20 | 6,04 | 11,03 | 15,58 | 19.82 | 23,78 | 27,48 | 30,91 | 34,06 | 36,90 | |
1,50 | 6,23 | 11,39 | 16,09 | 20.46 | 24,56 | 28,38 | 31,92 | 35,17 | 38,10 | |
≥3,00 | 6,43 | 11,75 | 16,59 | 21,11 | 25,34 | 29,28 | 32,93 | 36,28 | 39,31 | |
800 | 1,00 | 6,57 | 12.05 | 17,05 | 21,70 | 26,03 | 30.06 | 33,73 | 37,05 | 40,00 |
1,05 | 6,80 | 12,47 | 17,64 | 22,46 | 26,94 | 31,10 | 34,90 | 38,35 | 41,40 | |
1,20 | 7,08 | 12,89 | 18,24 | 23.21 | 27.85 | 32,15 | 36,08 | 39,64 | 42,79 | |
1,50 | 7,26 | 13,31 | 18,83 | 23.97 | 28,76 | 33.20 | 37,26 | 40,94 | 44,19 | |
≥3,00 | 7,54 | 13.74 | 19.43 | 24,73 | 29,67 | 34.25 | 38,44 | 42,23 | 45,59 | |
900 | 1,00 | 7,64 | 13,96 | 19.76 | 25,15 | 30,14 | 34,71 | 38,84 | 42,49 | 45,63 |
1,05 | 7,91 | 14,44 | 20.45 | 26,03 | 31,19 | 35,92 | 40,20 | 43,98 | 47,22 | |
1,20 | 8,17 | 14,94 | 21,14 | 26.91 | 32,24 | 37,13 | 41,55 | 45,46 | 48,82 | |
1,50 | 8,44 | 15.42 | 21,84 | 27,79 | 33,30 | 38.35 | 42.91 | 46,95 | 50,41 | |
≥3,00 | 8,70 | 15,91 | 22.53 | 28.67 | 34,35 | 39,56 | 44,27 | 48,43 | 52,01 | |
1000 и более | 1,00 | 8,65 | 15,84 | 22,44 | 28,52 | 34,11 | 39,17 | 43,66 | 47,52 | 50,69 |
1,05 | 8,95 | 16.40 | 23,22 | 29,52 | 85,31 | 40,54 | 45,19 | 49,18 | 52,47 | |
1,20 | 9.26 | 16,95 | 24,00 | 30,52 | 36.50 | 41,91 | 46,71 | 50,84 | 54,24 | |
1,50 | 9.56 | 17,50 | 24.79 | 31.51 | 37,69 | 43,28 | 48,24 | 52,51 | 56,01 | |
≥3.00 | 9,86 | 18.06 | 25,57 | 32.51 | 38,88 | 44.65 | 49,77 | 54,17 | 57,78 | |
v, м/c | 5 | 10 | 15 | 20 |
| |||||
Продолжение табл. 42
d1, мм | i | Частота вращения меньшего шкива, мин-1 | ||||||||
500 | 550 | 600 | 650 | 700 | 750 | 800 | 850 | 950 | ||
500 | 1,00 | 21,65 | 23,00 | 24,21 | 25,29 | 26,21 | 26,97 | 27,57 | 28,00 | 28,32 |
1,05 | 22,40 | 23,80 | 25,06 | 26,17 | 27,12 | 27,92 | 28,54 | 28,98 | 29,31 | |
1,20 | 23,16 | 24,61 | 25,91 | 27,05 | 28,04 | 28,86 | 29,50 | 29,96 | 30,30 | |
1,50 | 23,92 | 25,41 | 26,75 | 27,94 | 28,96 | 29,80 | 30,46 | 30,94 | 31,28 | |
≥3,00 | 24,67 | 26,21 | 27,60 | 28,82 | 29,87 | 30,74 | 31,43 | 31,92 | 32,27 | |
560 | 1,00 | 26,25 | 27,86 | 29,30 | 30,55 | 31,59 | 32,42 | 33,03 | 33,40 | 33,40 |
1,05 | 27,16 | 28,84 | 30,33 | 36,61 | 32,69 | 33,55 | 34,18 | 34,57 | 34,57 | |
1,20 | 28,08 | 29,81 | 31,35 | 32,68 | 33,80 | 34,69 | 35,34 | 35,74 | 35,74 | |
1,50 | 29,00 | 30,79 | 32,37 | 33,75 | 34,90 | 35,82 | 36,49 | 36,90 | 36,90 | |
≥3,00 | 29,91 | 31,76 | 33,40 | 34,82 | 36,01 | 36,95 | 37,65 | 38,07 | 38,07 | |
630 | 1,00 | 31,36 | 33,22 | 34,83 | 36,19 | 37,26 | 38,04 | 38,52 | 38,66 | 37,92 |
1,05 | 32,45 | 34,38 | 36,05 | 37,45 | 38,56 | 39,37 | 39,86 | 40,02 | 39,24 | |
1,20 | 33,55 | 35,54 | 37,27 | 38,72 | 39,87 | 40,70 | 41,21 | 41,37 | 40,57 | |
1,50 | 34,65 | 36,70 | 38,49 | 39,98 | 41,17 | 42,03 | 42,56 | 42,72 | 41,89 | |
≥3,00 | 35,74 | 37,86 | 39,70 | 41,25 | 42,47 | 43,36 | 43.90 | 44,07 | 43,22 | |
710 | 1,00 | 36,85 | 38,88 | 40,58 | 41,92 | 42,87 | 43,41 | 43,52 | 43,18 |
|
1,05 | 38,13 | 40,24 | 42,00 | 43,39 | 44,37 | 44,93 | 45,05 | 44,69 | ||
1,20 | 39,42 | 41,60 | 43,42 | 44,85 | 45,87 | 46,45 | 46,57 | 46,20 | ||
1,50 | 40,71 | 42,96 | 44,84 | 46,32 | 47,37 | 47,97 | 48,09 | 47,71 | ||
≥3,00 | 42,00 | 44,32 | 46,26 | 47,78 | 48,87 | 49,49 | 49,61 | 49,22 | ||
800 | 1,00 | 42,53 | 44,63 | 46,26 | 47,38 | 47,96 | 47,97 |
| ||
1,05 | 44,02 | 46,19 | 47,87 | 49,04 | 49,64 | 49,65 | ||||
1,20 | 45,51 | 47,75 | 49,49 | 50,69 | 51,32 | 51,33 | ||||
1,50 | 47,00 | 49,31 | 51,11 | 52,35 | 52,99 | 53,01 | ||||
≥3,00 | 48,48 | 50,87 | 52,73 | 54,01 | 54,67 | 54,68 | ||||
900 | 1,00 | 48,20 | 50,17 | 51,48 | 52,09 |
| ||||
1,05 | 49,89 | 51,92 | 53,28 | 53,91 | ||||||
1,20 | 51,57 | 53,68 | 55,08 | 55,73 | ||||||
1,50 | 53,26 | 55,43 | 56,88 | 57,56 | ||||||
≥3.00 | 54,94 | 57,18 | 58,68 | 59,38 | ||||||
1000 и более | 1,00 | 53,12 | 54,73 | 55,45 |
| |||||
1,05 | 54,97 | 56,64 | 57,39 | |||||||
1,20 | 56,83 | 58,55 | 59,38 | |||||||
1,50 | 58,69 | 60,47 | 61,27 | |||||||
≥3,00 | 60,55 | 62,38 | 63,21 | |||||||
v, м/с | 25 | 30 |
| |||||||
42. Номинальная мощность, кВт, передаваемая одним ремнем 0, I и II классов сечения ЕО(Д) при Lp=8500мм
d1, мм | i | Частота вращения меньшего шкива, мин-1 | |||||||||||||
50 | 100 | 150 | 200 | 250 | 300 | 350 | 400 | 450 | 500 | 550 | 600 | 650 | 700 | ||
800 | 1,00 | 7,29 | 13,25 | 18,40 | 23,26 | 27,67 | 31,65 | 35,18 | 38,27 | 40,85 | 43,35 | 44,38 | 45,26 | 45,34 | 44,82 |
1,05 | 7,51 | 13,62 | 18,99 | 24,14 | 28,70 | 32,83 | 36,58 | 39,89 | 42,61 | 44,89 | 46,59 | 47,69 | 47,99 | 47,55 | |
1,20 | 7,65 | 14,06 | 19,58 | 25,61 | 29,73 | 34,00 | 37,98 | 41,51 | 44,45 | 46,88 | 48,79 | 50,05 | 50,64 | 50,34 | |
1,50 | 7,87 | 14,49 | 20,24 | 25,76 | 30,76 | 35,18 | 39,45 | 43,13 | 46,37 | 48,94 | 51,08 | 52,48 | 53,43 | 53,14 | |
≥3,00 | 8,17 | 14,87 | 20,83 | 26,49 | 31,87 | 36,51 | 40,85 | 44,82 | 48,21 | 50,93 | 53,29 | 54,90 | 56,08 | 55,94 | |
900 | 1,00 | 8,61 | 15,23 | 22,08 | 27,82 | 33,56 | 38,20 | 42,17 | 45,70 | 48,43 | 50,71 | 52,62 | 52,62 | 52,33 |
|
1,05 | 8,83 | 15,60 | 22,67 | 28,70 | 34,59 | 39,38 | 43,49 | 47,39 | 50,19 | 52,69 | 54,83 | 55,05 | 54,98 | ||
1,20 | 8,98 | 15,97 | 23,26 | 29,51 | 35,62 | 40,55 | 44,89 | 49,02 | 52,03 | 54,76 | 57,04 | 57,41 | 57,33 | ||
1,50 | 9,20 | 16,34 | 23,85 | 30,32 | 36,58 | 41,73 | 46,37 | 50,64 | 53,95 | 56,67 | 59,32 | 59,84 | 59,62 | ||
≥3,00 | 9,42 | 16,78 | 24,43 | 31,13 | 37,61 | 43,05 | 47,77 | 52,26 | 55,86 | 58,73 | 61,53 | 62,26 | 63,00 | ||
1000 | 1,00 | 10,01 | 18,25 | 25,7b | 32,60 | 38,64 | 44,08 | 48,65 | 52,69 | 55,57 | 57,78 | 58,29 | 58,36 |
| |
1,05 | 10,23 | 18,69 | 26,35 | 33,41 | 39,59 | 45,34 | 50,12 | 54,24 | 57,41 | 59,76 | 60,49 | 60,79 | |||
1,20 | 10,38 | 19,14 | 26,94 | 34,22 | 40,63 | 46,44 | 51,52 | 55,86 | 59,25 | 61,75 | 62,71 | 63,29 | |||
1,50 | 10,59 | 19,43 | 27,53 | 35,03 | 41,66 | 47,32 | 52,99 | 57,48 | 61,01 | 64,55 | 64,99 | 66,17 | |||
≥3,00 | 10,82 | 19,87 | 28,11 | 35,84 | 42,69 | 49,02 | 54,39 | 59,17 | 62,93 | 66,53 | 67,19 | 68,15 | |||
1120 | 1,00 | 11,63 | 21,34 | 30,03 | 37,90 | 44,97 | 51,08 | 56,30 | 61,97 | 62,85 | 64,40 | 64,77 |
| ||
1,05 | 11,85 | 21,64 | 30,62 | 38,64 | 45,93 | 52,26 | 57,70 | 63,59 | 64,62 | 66,46 | 66,98 | ||||
1,20 | 12,07 | 22,08 | 31,28 | 39,52 | 46,96 | 53,43 | 59,17 | 65,21 | 66,46 | 68,45 | 69,18 | ||||
1,50 | 12,29 | 22,45 | 31,79 | 40733 | 47,99 | 54,68 | 59,91 | 66,83 | 68,37 | 70,51 | 71,39 | ||||
≥3,00 | 12,44 | 22,96 | 32,38 | 40,55 | 49,02 | 55,94 | 62,04 | 68,45 | 70,21 | 72,49 | 73,60 | ||||
1250 | 1,00 | 12,81 | 24,43 | 34,44 | 43,67 | 51,45 | 58,14 | 63,81 | 67,27 | 69,55 | 69,92 |
| |||
1,05 | 13,03 | 24,88 | 35,11 | 44,45 | 52,40 | 59,32 | 65,21 | 68,89 | 71,39 | 71,91 | |||||
1,20 | 13,25 | 25,32 | 35,62 | 45,26 | 53,43 | 60,57 | 66,68 | 71,24 | 73,30 | 73,97 | |||||
1,50 | 13,47 | 25,76 | 36,21 | 46,00 | 54,46 | 61,82 | 68,08 | 72,57 | 75,07 | 76,03 | |||||
≥3,00 | 13,62 | 26,13 | 36,87 | 46,74 | 55,57 | 63,07 | 69,55 | 73,75 | 76,91 | 78,02 | |||||
1400 и более | 1,00 | 15,38 | 28,19 | 39,59 | 49,68 | 58,51 | 65,79 | 71,02 | 74,26 | 74,70 |
| ||||
1,05 | 15,60 | 28,56 | 40,18 | 50,64 | 59,47 | 66,90 | 72,42 | 75,88 | 76,54 | ||||||
1,20 | 15,75 | 28,99 | 40,77 | 51,45 | 60,49 | 68,15 | 73,82 | 77,50 | 78,38 | ||||||
1,50 | 15,97 | 29,44 | 41,44 | 52,26 | 61,53 | 69,48 | 75,22 | 79,12 | 80,22 | ||||||
≥3,00 | 16,19 | 29,81 | 42,02 | 52,99 | 62,56 | 70,66 | 77,21 | 80,81 | 82,06 | ||||||
v, м/с | 5 | 10 | 15 | 20 | 25 | 30 |
| ||||||||
44. Коэффициент угла обхвата Са
Угол обхвата а,° | Са | Угол обхвата а,° | Са | Угол обхвата а,° | Са |
220 | 1,08 | 170 | 0,98 | 120 | 0,82 |
210 | 1,06 | 160 | 0,95 | 110 | 0,78 |
200 | 1,04 | 150 | 0,92 | 100 | 0,74 |
190 | 1,02 | 140 | 0,89 | 90 | 0,69 |
180 | 1,00 | 130 | 0,86 |
| |
45. Коэффициент CL, учитывающий влияние длины ремня
Расчетная длина ремня Lp, мм | CL для ремней сечением | Расчетная длина ремня Lp, мм | CL для ремней сечением | |||||||||||||
Z(O) | А | В(Б) | Z(O) | А | В(Б) | С(В) | D(Г) | |||||||||
400 | 0,49 | — | — | 1500 | 1,05 | 0,97 | 0,91 | — | — | |||||||
425 | 0,51 | 1600 | 1,08 | 0,98 | 0,93 | |||||||||||
450 | 0,53 | 1700 | 1,11 | 1,00 | 0,94 | |||||||||||
475 | 0,56 | 1800 | 1,13 | 1,02 | 0,95 | 0,85 | ||||||||||
500 | 0,58 | 1900 | 1,16 | 1,03 | 0,96 | 0,86 | ||||||||||
530 | 0,61 | 2000 | 1,18 | 1,04 | 0,98 | 0,87 | ||||||||||
560 | 0,63 | 0,71 | 2120 | 1,20 | 1,06 | 0,99 | 0,89 | |||||||||
600 | 0,66 | 0,72 | 2240 | 1,23 | 1,07 | 1,00 | 0,90 | |||||||||
630 | 0,68 | 0,74 | 2360 | 1,25 | 1,09 | 1,01 | 0,91 | |||||||||
670 | 0,71 | 0,75 | 2500 | 1,27 | 1,10 | 1,02 | 0,92 | |||||||||
710 | 0,73 | 0,77 | 2650 | — | 1,12 | 1,04 | 0,93 | |||||||||
750 | 0,76 | 0,78 | 2800 | 1,13 | 1,05 | 0,94 | ||||||||||
800 | 0,78 | 0,80 | 3000 | 1,15 | 1,06 | 0,96 | ||||||||||
850 | 0,81 | 0,82 | 3150 | 1,16 | 1,07 | 0,97 | 0,89 | |||||||||
900 | 0,84 | 0,83 | 0,80 | 3350 | 1,18 | 1,08 | 0,98 | 0,80 | ||||||||
950 | 0,86 | 0,85 | 0,81 | 3550 | 1,20 | 1,10 | 0,99 | 0,91 | ||||||||
1000 | 0,88 | 0,86 | 0,82 | 3750 | 1,21 | 1,1 | 1,00 | 0,92 | ||||||||
1060 | 0,91 | 0,87 | 0,84 | 4000 | 1,23 | 1,13 | 1,01 | 0,93 | ||||||||
1120 | 0,93 | 0,89 | 0,85 | 4250 | — | 1,14 | 1,03 | 0,94 | ||||||||
1180 | 0,95 | 0,90 | 0,86 | 4500 | 1,15 | 1,04 | 0,95 | |||||||||
1250 | 0,98 | 0,92 | 0,87 |
|
| |||||||||||
1320 | 1,00 | 0,93 | 0,89 | |||||||||||||
1400 | 1,03 | 0,95 | 0,90 | |||||||||||||
Расчетная длина ремня Lp, мм | CL для ремней сечением | |||||||||||||||
Z(O) | А | В(Б) | С(В) | D(Г) | Е(Д) | ЕО(Е) | 40 × 20 | |||||||||
4750 | — | — | 1,16 | 1,05 | 0,96 | 0,94 | — | — | ||||||||
5000 | 1,17 | 1,06 | 0,97 | 0,95 | ||||||||||||
5300 | 1,19 | 1,07 | 0,98 | 0,96 | 0,94 | |||||||||||
5600 | 1,20 | 1,08 | 0,99 | 0,96 | 0,95 | |||||||||||
6000 | 1,21 | 1,09 | 1,00 | 0,97 | 0,96 | |||||||||||
6300 | 1,22 | 1,10 | 1,01 | 0,98 | 0,92 | 0,97 | ||||||||||
6700 | — | 1,12 | 1,02 | 0,99 | 0,94 | 0,98 | ||||||||||
7100 | 1,13 | 1,03 | 1,00 | 0,96 | 0,98 | |||||||||||
7500 | 1,14 | 1,04 | 1,01 | 0,97 | 0,99 | |||||||||||
8000 | 1,15 | 1,05 | 1,02 | 0,98 | 1,00 | |||||||||||
8500 | 1,16 | 1,06 | 1,03 | 1,00 | 1,01 | |||||||||||
9000 | 1,17 | 1,07 | 1,04 | 1,01 | 1,02 | |||||||||||
9500 | 1,19 | 1,08 | 1,04 | 1,02 | 1,02 | |||||||||||
10000 | 1.20 | 1,09 | 1,05 | 1,03 | 1,03 | |||||||||||
10600 | 1,21 | 1,10 | 1,06 | 1,04 | 1,04 | |||||||||||
11200 | — | 1,11 | 1,07 | 1,06 | 1,05 | |||||||||||
11800 | 1,12 | 1,08 | 1,07 | 1,05 | ||||||||||||
12500 | 1,13 | 1,09 | 1,08 | 1,06 | ||||||||||||
13200 | 1,14 | 1,09 | 1,09 | 1,07 | ||||||||||||
14000 | 1,15 | 1,10 | 1,10 | 1,08 | ||||||||||||
15000 | 1,16 | 1,11 | 1,11 | 1,09 | ||||||||||||
16000 | — | 1,12 | 1,12 | 1,10 | ||||||||||||
17000 | 1,13 | 1,14 | 1,11 | |||||||||||||
18000 | 1,14 | 1,16 | 1,11 | |||||||||||||
46. Коэффициент Ск, учитывающий число ремней в комплекте
Число ремней в передаче | Ск |
2 | 0,80-0,85 |
3 | 0,77-0,82 |
4 | 0,76-0,80 |
5-6 | 0,75-0,79 |
Св. 6 | 0.75 |

Рис. 14. К расчету прогиба ремня
Натяжение ремня контролируют по прогибу ветви f под воздействием силы Q(рис. 14).
Прогиб ветви f (в мм)
f = 1,55a/100 (2)
Сила Q (в Н) для нового ремня
Q = (CF0+С0)/16; (3)
для приработанного ремня
Q = (F0+С0)/16; (4)
где С - коэффициент, равный 1,2-1,4; С0 - коэффициент, зависящий от жесткости ремня (табл. 47).
Для компенсации отклонений от номинала по длине ремня, его удлинения во время эксплуатации, а также для свободной установки новых ремней в передаче должна быть предусмотрена регулировка межосевого расстояния или установка натяжных устройств.
47. Рекомендуемые значения
Сечение ремня | С0, Н, для класса ремней | |
I, II | II, IV | |
Z(O) | 5 | 10 |
А | 5 | 10 |
В(Б) | 10 | 20 |
С(В) | 15 | 30 |
D(Г) | 35 | 40 |
Е(Д) | 50 | 55 |
ЕО(Е) | 80 | 90 |
40 × 20 | 45 | 50 |
Наименьшее значение межосевого расстояния должно быть установлено в зависимости от длины ремня, уменьшенной на 2% при длине ремня до 2м и на 1% при длине свыше 2м.
Наибольшее значение межосевого расстояния должно быть установлено из расчета длины ремня, увеличенной на 5,5%.









