0
0
0

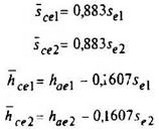
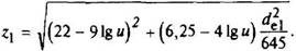
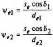
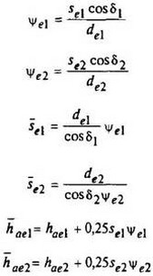
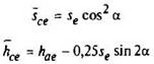
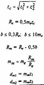
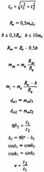
16. Конические зубчатые передачи с прямыми зубьями

Этот сайт использует файлы cookies для более комфортной работы пользователя. Продолжая просмотр страниц сайта, вы соглашаетесь с политикой использования файлов cookies. Подробнее