0 руб
Оформить заказБлагодаря наклону и бочкообразной форме зубьев конические колеса с круговым зубом, более прочны, бесшумны и допускают большие отклонения при монтаже, чем прямозубые.
При конструировании конических колес с круговым зубом учитывают возможность нарезания их на станке.
В интервале 6—100 можно нарезать колесо с любым числом зубьев в интервале 100—200 — только колеса с числом зубьев, которое можно разложить на множители.
Так, например, колесо с z = 107 не следует конструировать, так как для его изготовления придется делать специальное колесо на делительную гитару станка.
Числа зубьев шестерен и колес ортогональной конической зубчатой передачи следует выбирать с учетом данных, приведенных в табл. 73.
Число зубьев цементованных конических зубчатых колес рекомендуется определять по рис. 31.
Термически улучшенные конические зубчатые колеса могут выполняться с тем же или с увеличенным на 10—20 % числом зубьев.

Рис. 31. Номограмма для определения рекомендуемого числа зубьев конических шестерен (а = 20°; Σ = 90°):
Пример. Дано: de1 = 300мм, u = 4, βn = 35°. По номограмме определяем z1 = 25,5 ≈ 25.
73. Минимальные допустимые числа зубьев ортогональной конической передачи с круговыми зубьями при исходном контуре по ГОСТ 16202—81
Число зубьев шестерни | Наименьшее число зубьев колеса z1 | Число зубьев шестерни | Наименьшее число зубьев колеса z1 | |
6 | 34 при βn≥ 42° | 12 | 30 при βn от 0 до 15° 28 при βn≥ 20° 26 при βnсв. 29 до 45° | |
7 | 33 при βn≥ 40° | |||
13 | 26 при βn от 0 до 15° 24 при βn св. 15 до 29° 22 при βn св. 29 до 45° | |||
8 | 32 при βn≥ 38° | |||
9 | 31 при βn≥35° | 14 | 20 при βnот 0 до 45° | |
10 | 32 при βn≥ 28° 30 при βn≥ 32° | 15 16 | 19 при βn от 0 до 45° 18 при βnот 0 до 45° | |
11 | 30 при βn≥ 25° 28 при βnсв. 29 до 45° | 17 | 17 при βn от 0 до 45° |
Модули. В качестве расчетного принят нормальный модуль mnв середине ширины венца.
В качестве исходного для расчета вместо mn может быть принят внешний окружной модуль mte. Так, для редукторных передач с параметрами по ГОСТ 12289—76, в котором стандартизованы внешние делительные диаметры колес (de2), первоначально определяют внешний окружной модуль mte = de2 / z2, который и принимают в качестве исходного для дальнейшего расчета.
При mn < 2 исходным для расчета принимают только средний нормальный модуль.
Модули mn рекомендуется устанавливать по ГОСТ 9563—60, им соответствуют разводы резцов зуборезных головок по ГОСТ 11902—77 (табл. 74).
Угол наклона и направление линии зуба.
Расчетный угол наклона зуба βn может находиться в пределах 0—45°. Рекомендуется применять одно из значений ряда: 0; 10; 15; 20; 25; 30; 35; 40; 45°.
Предпочтителен к применению угол наклона βn = 35°. При z1 от 6 до 17 рекомендуемые значения указаны в табл. 73.
Угол βn целесообразно назначать таким, чтобы коэффициент осевого перекрытия εβ был не менее 1,25;
при требовании максимальной плавности работы передачи рекомендуется εβ ≥ 1,6 (рис. 32).
При назначении угла βn следует также учитывать, что с его увеличением возрастают нагрузки на опоры и валы.
В табл. 75 приведены формулы для определения величины и направления осевой и радиальной сил в зацеплении конических зубчатых колес с круговыми зубьями, а на рис. 33 — график для определения величины и направления осевой силы в ортогональной конической передаче при угле профиля исходного контура an= 20°.
74. Разводы W2 резцов зуборезных головок по ГОСТ 11902—77 и соответствующие им значения коэффициентов изменения расчетной толщины зуба шестерни хτ1 при средних нормальных модулях mnпо ГОСТ 9563-60
Средний нормальный модуль mn, 1-й ряд | xτ1 | W2 | δhj* | xτ1 | W2 | xτ1 | W2 |
1,25 | 0,00 | 0,80 | 0,036 | — | — | — | — |
1,5 | 0,00 | 1,00 | -0,010 | — | — | — | — |
2,0 | 0,00 | 1,3 | 0,030 | 0,04 | 1,4 | 0,14 | 1,6 |
2,5 | 0,00 | 1,6 | 0,072 | 0,06 | 1,8 | 0,14 | 2,0 |
3,0 | 0,00 | 2,0 | -0,024 | 0,07 | 2,2 | 0,20 | 2,6 |
4,0 | 0,00 | 2,6 | 0,060 | 0,04 | 2,8 | 0,14 | 3,2 |
5,0 | 0,00 | 3,2 | 0,143 | 0,06 | 3,6 | 0,14 | 4,0 |
6,0 | 0,00 | 4,0 | -0,047 | 0,10 | 4,6 | 0,20 | 5,2 |
8,0 | 0,00 | 5,2 | 0,120 | 0,09 | 6,0 | 0,15 | 6,5 |
10,0 | 0,00 | 6,5 | 0,150 | 0,04 | 7,0 | 0,14 | 8,0 |
12 | 0,00 | 8,0 | -0,095 | 0,09 | 9,0 | 0,17 | 10,0 |
16 | 0,00 | 10 | 0,789 | 0,09 | 12,0 | 0,15 | 13,0 |
*δhf - поправка на высоту ножки зуба вводится только при xτ1 = 0 и двусторонней обработке колеса.
ГОСТ 19326—73 предусматривает также 2-й ряд среднего нормального модуля mn.
При совпадении направлений линий зуба с направлением вращения, если смотреть со стороны вершины делительных конусов ведущего конического зубчатого колеса понижающей передачи и ведомого конического зубчатого колеса повышающей передачи, осевые силы на них будут направлены от вершин делительных конусов.
Сопряженные зубчатые колеса имеют противоположные направления линий зуба.
При проектировании конических зубчатых колес с осевой формой зуба I в некоторых случаях расчетный угол наклона зубьев назначают с учетом номера резцов.

Рис. 32. График для определения коэффициента осевого перекрытия

Пример. Дано: b = 30мм, mn = 4мм, βn = 40°. По графику находят при b/mn = 30/4 = 7,5; еβ = 1,54.
75. Формулы для определения сил в зацеплении
Силы | Ведущее зубчатое колесо | Ведомое зубчатое колесо |
Окружная |
| |
Осевая |
|
|
Радиальная |
|
|
Примечания:
1. Верхние знаки в формулах даны для случая, когда направление вращения рассматриваемого зубчатого колеса (если смотреть на него с вершины делительного конуса) совпадает с направлением наклона зубьев, как показано на рис. 34; нижние знаки — при отсутствии такого совпадения.
2. Направление вращения по часовой стрелке — правое; против часовой стрелки — левое.
3. Направления действия сил Fx и Fr определяются по знакам (+ и -), указанным на рис. 34, получаемым в результате расчета по формулам.

Рис. 33. Осевые силы в зацеплении конических зубчатых колес с круговыми зубьями аn = 20°, Σ = 90°
Для кривых А
Зубчатое колесо | Направление наклона зубьев | Направление вращения |
Ведущее | Левое | Левое |
Правое | Правое | |
Ведомое | Левое | Правое |
Правое | Левое |
Пример. Дано: δ1 = 18°; δ2 = 72°; βn= 35º;
шестерня: направление наклона — правое, направление вращения — правое;
колесо: левое, направление вращения - левое.
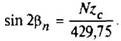
По номограмме определяем Fx1 = 0,79Fi; Fx2 = 0,19Fi, используемых при зубонарезании. Для этого предварительно определяют необходимый номер резцов по формуле

и округляют его до значений N по ГОСТ 11902—77. В приведенной формуле β'n - предварительное значение угла наклона зубa проектируемой передачи.

Рис. 34. Направления вращения и действия сил Fx и Fr
Для кривых Б
Зубчатое колесо | Направление наклона зубьев | Направление вращения |
Ведущее | Левое | Правое |
Правое | Левое | |
Ведомое | Левое | Левое |
Правое | Правое |
Далее окончательно устанавливают расчетный угол наклона зуба βn по формуле

при исходном контуре по ГОСТ 16202—81.

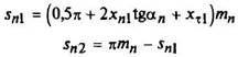
Исходный контур. Под исходным контуром конических зубчатых колес с круговыми зубьями (рис. 35) подразумевают контур зубьев условной рейки, профиль которой и высотные размеры зубьев совпадают с одноименными элементами зубьев плоского исходного колеса в среднем нормальном сечении; шаг и толщину зубьев принимают соответственно равными окружному шагу и половине окружного шага плоского исходного колеса посередине ширины зубчатого венца, умноженным на косинус среднего угла наклона линии зубьев плоского исходного колеса; с = рf= 0,25mn.
В технически обоснованных случаях допускается неравенство делительных толщин зубьев sn1 и sn2 в паре исходных контуров, изменение глубины захода hw, радиального зазора с и радиуса рf(от 0,15mn и до 0,35mn) и соответственно граничной высоты h1, а также применение переходной кривой, отличной от дуги окружности, если указанные изменения не нарушают правильности зацепления и не препятствуют использованию стандартного инструмента.
Допускается применение профильной модификации исходного контура.
Конические передачи с круговыми зубьями (средний нормальный модуль mn от 1мм и более) должны выполняться с параметрами и коэффициентами исходного контура по ГОСТ 16202—81:
угол главного профиля аn = 20°;
коэффициент высоты головки ha* = 1;
коэффициент высоты ножки hf* = 1.25;
коэффициент граничной высоты ht* = 2,08;
коэффициент радиуса кривизны переходной кривой, являющейся дугой окружности, рf* = 0,25;
коэффициент глубины захода в паре исходных контуров hW* = 2;
коэффициент радиального зазора в паре исходных контуров с* = 0,25;
профиль в пределах граничной высоты — прямолинейный.
Примечание. При отсутствии дополнительных указаний везде, где упоминается профиль зуба, имеется в виду профиль в нормальном расчетном сечении.

Рис. 35. Исходный контур по ГОСТ 16202-81
Выбор осевой формы зубьев и номинального диаметра зуборезной головки.
1. В табл. 76 указаны диапазоны параметров конических зубчатых колес, определяющие возможные области использования осевых форм зубьев I, II и III, получивших наибольшее распространение. Осевая форма зуба I показана на рис. 28, осевые формы зуба II и III—на рис. 39 и 40.
При исходном контуре по ГОСТ 16202— 81 и расчетных углах наклона зуба βn > 15º разграничение этих областей в зависимости от k0 = R/d0 и βn устанавливается по рис. 36.
Зона, заштрихованная на графике перекрещивающимися линиями, соответствует значениям k0 и βn, при которых осевые формы зубьев I и II практически являются равноценными. Кривая линия, делящая рекомендуемую область применения зубчатых колес с осевой формой зуба III почти на две равные части, соответствует значениям k0 = 1/(2sinβn) при которых исключается какое-либо сужение равновысоких зубьев, и они приобретают оптимальную форму.
76. Основные параметры конических зубчатых колес с круговыми зубьями, определяющие области применения различных осевых форм зубьев
Параметры | Обозначения | Осевая форма зуба | ||
I | II | III | ||
Средний нормальный модуль, мм | mn | От 2 до 65 | От 0,4 до 25 | От 2 до 25 |
Среднее конусное расстояние,мм | R | От 60 до 650 | От 60 до 700 | От 75 до 750 |
Отношение среднего конусного расстояния к номинальному диаметру зуборезной головки | k0 | При βn > 15° - в пределах значений, указанных на рис. 36, при βn≤ 15° - 0,40-0,65 для осевых форм зуба I и II | ||
Средний угол наклона зубьев | βn | От 0 до 45° | От 25 до 45° | |
Число зубьев плоскогоколеса | zc | 20-100 | 24-100 | Св. 40 |
С осевой формой зуба III рекомендуется выполнять конические зубчатые колеса ортогональных передач со средним конусным - расстоянием, большим 0,7 от максимального допустимого среднего конусного расстояния для данного зуборезного станка.

Рис. 36. Области рационального применения осевых форм зубьев I, II, III (исходный контур по ГОСТ 16202-81):
1, 2, 3 - рекомендуемые области, I - осевая форма зуба 1, 2 - осевая форма зуба II; 3 - осевая форма зуба III; 4 - допустимая область, осевая форма зуба II
Зубчатые колеса с углами наклона зуба βn от 0 до 15° предпочтительно проектировать с осевой формой зуба II с учетом ограничений по числу зубьев плоского колеса по рис. 37.
2. Выбор номинального диаметра зуборезной головки для нарезания конических зубчатых колес с круговыми зубьями рекомендуется производить по табл. 77, составленной в соответствия с рис. 36.

Рис. 37. Области применения осевых форм зубьев I, II и III в зависимости от zcи βn

Рис. 38. График для проверки отсутствия вторичного резания конических зубчатых колес с круговыми зубьями
Пример. Дано: δ = 75°, βn = 35°, zc = 47, k0 = 0,47. Поскольку при заданных параметрах ордината на рис. 38, а больше ординаты на рис. 38, б, вторичное резание при чистовой обработке исключается: аналогично из сравнения ординат на рис. 38, а и 38, б определяют, что нет опасности вторичного резания и при черновой обработке зубчатого колеса
Если исходным для расчета передачи принят внешний окружной модуль mte, то необходимую для подбора зуборезной головки величину среднего конусного расстояния определяют по формуле
R≈ 0,42mtezc.
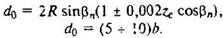
При проектировании мелкомодульных передач (mn < 2) с осевой формой зуба IIIдиаметр зуборезной головки и параметры передачи следует подбирать такими, чтобы соблюдалось равенство
d0 = mnzctgβn
При этом диаметр d0 выбирают по табл. 77 из ряда для осевой формы зуба II.
Если при данных R, h, b и mnмогут быть выбраны зуборезные головки с разными диаметрами d0, то предпочтительной к применению является зуборезная головка со средним значением d0.
Для колес с правым направлением линий зубьев при угле делительного конуса δ ≥ 50° и отношений
k0 = R/d0 > 0,7
следует проверять правильность выбора диаметра зуборезной головки на отсутствие вторичного резания по графикам, изображенным на рис. 38.
Если ордината на рис. при данных k0 и βn больше ординаты, определяемой по значениям δ и zc на рис. 38,б, то это указывает на отсутствие опасности вторичного резания при чистовой обработке конического зубчатого колеса методом обкатки. Аналогично сравнением ординат на рис. 38, а и 38, б устанавливают отсутствие вторичного резания при черновом нарезании конического зубчатого колеса из целой заготовки методом обкатки.
77. Выбор номинального диаметра зуборезной головки
Размеры, мм
Расчетный угол наклона зуба βnº | Пределы среднего конусного расстояния R | Номинальный диаметр зуборезной головки d0 | Внешняя высота зуба he | Ширина зубчатого венца b | Расчетный номинальный модуль mn | |
рекомендуемые | допустимые | |||||
Осевая форма зуба I | ||||||
От 0до15 | 36-58 | — | (88,9) | 8 | 10-20 | 2-3,0 |
Св. 15 » 29 | 40-62 | |||||
» 29 » 40 | 40-55 | |||||
От 0до15 | 40-65 | — | 100 | 9 | 10-20 | 2-3,0 |
Св. 15 » 29 | 45-70 | |||||
» 29 » 40 | 45-60 | |||||
От 0 до 15 | 50-80 | — | 125 | 10 | 12-25 | 2-3,5 |
Св. 15 » 29 | 55-90 | |||||
» 29 » 40 | 55-75 | |||||
От 0 до 15 | 60-100 | — | (152,4) | 10 | 15-30 | 2,5-3,5 |
Св. 15 » 29 | 70-110 | |||||
» 29 » 40 | 70-90 | |||||
От 0 до 15 | 65-105 | — | 160 | 12 | 16-32 | 2,5-4 |
Св. 15 » 29 | 72-110 | |||||
» 29 » 40 | 72-95 | |||||
От 0 до 15 | 75-120 | — | (190,5) | 15 | 20-40 | 2,5-5 |
Св. 15 » 29 | 85-135 | |||||
» 29 » 40 | 85-115 | |||||
От 0до15 | 80-130 | — | 200 | 15 | 20-40 | 2,5-5 |
Св. 15 » 29 | 90-140 | |||||
» 29 » 40 | 90-120 | |||||
От 0до15 | 90-150 | — | (228,6) | 15 | 20-40 | 2,5-5 |
Св. 15 » 29 | 100-160 | |||||
» 29 » 40 | 100-135 | |||||
От 0до15 | 100-160 | — | 250 | 18 | 25-50 | 2,5-6 |
Св. 15 » 29 | 110-175 | |||||
» 29 » 40 | 140-150 | |||||
От 0до15 | 120-200 | — | (304,8) | 20 | 30-65 | 2,5-7 |
Св. 15 » 29 | 140-215 | |||||
» 29 » 40 | 140-190 | |||||
От 0 до 15 | 120-200 | — | 315 | 24 | 32-65 | 2,5-9 |
Св. 15 » 29 | 140-220 | |||||
» 29 » 40 | 140-190 | |||||
От 0 до 15 | 160-250 | — | 400 | 30 | 40-80 | 3-10 |
Св. 15 » 29 | 180-280 | |||||
» 29 » 40 | 180-240 | |||||
От 0 до 15 | 180-300 | — | (457,2) | 28 | 50-100 | 4-10 |
Св. 15 » 29 | 200-320 | |||||
» 29 » 40 | 200-280 | |||||
От 0 до 15 | 200-320 | — | 500 | 36 | 50-100 | 4-12 |
Св. 15 » 29 | 225-350 | |||||
» 29 » 40 | 225-300 | |||||
От 0 до 15 | 250-400 | — | 630 | 45 | 70-125 | 4-16 |
Св. 15 » 29 | 290-440 | |||||
» 29 » 40 | 290-380 | |||||
От 0 до 15 | 320-520 | — | 800 | 60 | 80-160 | 5-20 |
Св. 15 » 29 | 360-560 | |||||
» 29 » 40 | 360-480 | |||||
От 15 до 29 | 400-650 | — | 1000 | 70 | 100-200 | 6-25 |
Св. 29 » 40 | 450-600 | |||||
Осевая форма зуба III | ||||||
От 0 до 15 | 13-21 | — | 32 | 4 | 2,5-8 | 1,25 |
Св. 15 » 45 | 10-22 | |||||
От 0до15 | 15-25 | — | (38 1) | 5 | 3—8 | 1,25 |
Св. 15 » 45 | 11-26 | |||||
От 0 до 15 | 16-26 | — | 40 | 5 | 3-10 | 1,5 |
Св. 15 » 45 | 12-28 | |||||
От 0 до 15 | 20-32 | — | 50 и (50,8) | 6 | 4—12 | 2 |
Св. 15 » 45 | 15-35 | |||||
От 0 до 15 | 24-40 | — | 60 | 7 | 5-15 | 2 |
Св. 15 » 45 | 18-42 | |||||
От 0 до 15 | 32-52 | — | 80 | 8 | 6-20 | 1-2,5 |
Св. 15 » 45 | 24-56 | |||||
От 0 до 15 | 36—58 | — | (88,9) | 8 | 8-20 | 1-2,5 |
Св. 15 » 45 | 25-60 | |||||
От 0 до 15 | 40-65 | — | 100 | 9 | 8-25 | 1-3 |
Св. 15 » 45 | 30-70 | |||||
От 0 до 15 | 50-80 | — | 125 | 10 | 10-30 | 1-3.5 |
Св. 15 » 45 | 40—90 | |||||
От 0 до 15 | 60-100 | — | (152,4) | 10 | 12-30 | 1,5-3,5 |
Св. 15 » 45 | 45-105 | |||||
От 0 до 15 | 65-105 | — | 160 | 12 | 13-40 | 1,5-4 |
Св. 15 » 45 | 50-110 | |||||
От 0 до 15 | 75-120 | — | (190,5) | 15 | 15-40 | 2-5 |
Св. 15 » 45 | 60-135 | |||||
От 0 до 15 | 80-130 | — | 200 | 15 | 16-50 | 2-5 |
Св. 15 » 45 | 60-140 | |||||
От 0 до 15 | 95-150 | — | (228,6) | 15 | 18-60 | 2-6 |
Св. 15 » 45 | 70-160 | |||||
От 0 до 15 | 100-160 | — | 250 | 18 | 20-65 | 2-6 |
Св. 15 » 45 | 75-175 | |||||
От 0 до 15 | 120-200 | — | (304,8) | 20 | 25-80 | 3-7 |
Св. 15 » 45 | 90-210 | |||||
От 0 до 15 | 120-200 | — | 315 | 24 | 25-80 | 3-8 |
Св. 15 » 45 | 95-220 | |||||
От 0 до 15 | 160-250 | — | 400 | 30 | 32-100 | 3-10 |
Св. 15 » 45 | 120-280 | |||||
От 0 до 15 | 180-300 | — | (457,2) | 28 | 36-120 | 4-10 |
Св. 15 » 45 | 140-320 | |||||
От 0 до 15 | 200-320 | — | 500 | 36 | 40-125 | 4-12 |
Св. 15 » 45 | 150-350 | |||||
От 0 до 15 | 250—400 | — | 630 | 45 | 50-160 | 5-16 |
Св. 15 » 45 | 190-440 | |||||
От 0 до 15 | 320-520 | — | 800 | 60 | 65-200 | 6-20 |
Св. 15 » 45 | 240-560 | |||||
Oт 15 до 29 | 400-700 | 300-700 | 1000 | 70 | 80-250 | 8-25 |
Св. 29 » 45 | 400-650 | 300 -650 | ||||
Осевая форма зуба III | ||||||
30 | 75*—90 | — | (88,9) | 8 | 10-20 | 2-3,0 |
35 | 68*—90 | |||||
40 | 60*—80 | |||||
30 | 85*—100 | — | 100 | 9 | 10-20 | 2-3,5 |
35 | 75*—100 | |||||
40 | 65*—90 | |||||
30 | 105*—125 | — | 125 | 10 | 12-25 | 2-4 |
35 | 95*—125 | |||||
40 | 80*—110 | |||||
30 | 130*—150 | — | (152,4) | 10 | 15-30 | 2-4 |
35 | 115*—150 | |||||
40 | 100*—135 | |||||
30 | 135*—160 | — | 160 | 12 | 16-32 | 2-5 |
35 | 120*—160 | |||||
40 | 105*—145 | |||||
30 | 160*—190 | — | (190,5) | 15 | 20-40 | 3-6 |
35 | 140*—190 | |||||
40 | 125*—170 | |||||
30 | 170*—200 | — | 200 | 15 | 20-40 | 3-6 |
35 | 150*—200 | |||||
40 | 130*—180 | |||||
30 | 190*—230 | — | (228,6) | 15 | 25-50 | 3-6 |
35 | 170*—230 | |||||
40 | 150*—200 | |||||
30 | 210*—250 | — | 250 | 18 | 25-50 | 3-7 |
35 | 190*—250 | |||||
40 | 160*—225 | |||||
30 | 260*—305 | — | (304,8) | 20 | 32-65 | 3-8 |
35 | 230*—305 | |||||
40 | 200*—270 | |||||
30 | 270*—315 | — | 315 | 24 | 32-65 | 3-8 |
35 | 235*—315 | |||||
40 | 205*—280 | |||||
30 | 340*-400 | — | 400 | 30 | 40-80 | 3-12 |
35 | 300*-400 | |||||
40 | 260*-360 | |||||
30 | 390*-460 | — | (457,2) | 28 | 50-100 | 4-12 |
35 | 340*-460 | |||||
40 | 300*-410 | |||||
30 | 420*-500 | — | 500 | 36 | 50-100 | 4-15 |
35 | 370*-500 | |||||
40 | 330*-450 | |||||
30 | 530*-630 | — | 630 | 45 | 63-125 | 5-18 |
35 | 470*-630 | |||||
40 | 420*-570 | |||||
30 | 680*-800 | — | 800 | 60 | 80-160 | 6-25 |
35 | 600*-800 | |||||
40 | 520*-720 | |||||
Примечания:
1. Если величина R превышает значение, отмеченное знаком «*», и угол Делительного конуса δ2 > 50°, то необходимо производить проверку на отсутствие вторичного резания.
2. Диаметр зуборезной головки для зубчатых колес с осевой формой зуба Iпри расчетных наклона зуба βn св. 40 до 45° подбирают по графику на рис. 36.
3. Диапазоны допускаемых значений среднего конусного расстояния при данном диаметре зуборезной головки для зубчатых колес с осевой формой зуба II могут быть уточнены по сравнению с указанным в таблице с учетом графика на рис. 36.
4. Диаметр зуборезной головки для зубчатых колес с осевой формой зуба III при zc > 70 и βn св. 10 до 30° подбирают таким, чтобы удовлетворялись два уравнения:

5. Таблица составлена из условия обработки колеса передачи двусторонним или поворотным методом.
При одностороннем методе обработки колеса и m2 ≥ 2мм наименьшее рекомендованное значение R может быть уменьшено, а наибольшее — увеличено на 25%.
6. Зуборезные головки с номинальными диаметрами, заключенными в скобки, по возможности не применять.
78. Коэффициенты смещения для ортогональных конических зубчатых передач с круговыми зубьями при исходном контуре по ГОСТ 16202—81
Число зубьев шестерни z1 | Значения коэффициента смещения хn1 при передаточном числе передачи u | |||||||||||
1 | 1,12 | 1,25 | 1,4 | 1,6 | 1,8 | 2,0 | 2,5 | 3,15 | 4,0 | 5,0 | 6,3 и выше | |
Расчетный угол зуба βn от 0 до 15° | ||||||||||||
12 | — | — | — | — | — | — | — | 0,50 | 0,53 | 0,56 | 0,57 | 0,58 |
13 | — | — | — | — | — | — | 0,44 | 0,48 | 0,52 | 0,54 | 0,55 | 0,56 |
14 | — | — | — | 0,27 | 0,34 | 0,38 | 0,42 | 0,47 | 0,50 | 0,52 | 0,53 | 0,54 |
15 | — | — | 0,18 | 0,25 | 0,31 | 0,36 | 0,40 | 0,45 | 0,48 | 0,50 | 0,51 | 0,52 |
16 | 0,00 | 0,10 | 0,17 | 0,24 | 0,30 | 0,35 | 0,38 | 0,43 | 0,46 | 0,48 | 0,49 | 0,50 |
18 | 0,00 | 0,09 | 0,15 | 0,22 | 0,28 | 0,33 | 0,36 | 0,40 | 0,43 | 0,45 | 0,46 | 0,47 |
20 | 0,00 | 0,08 | 0,14 | 0,20 | 0,26 | 0,30 | 0,34 | 0,37 | 0,40 | 0,42 | 0,43 | 0,44 |
25 | 0,00 | 0,07 | 0,13 | 0,18 | 0,23 | 0,26 | 0,29 | 0,33 | 0,36 | 0,38 | 0,39 | 0,40 |
30 | 0,00 | 0,06 | 0,11 | 0,15 | 0,19 | 0,22 | 0,25 | 0,28 | 0,31 | 0,33 | 0,34 | 0,35 |
40 | 0,00 | 0,05 | 0,09 | 0,12 | 0,15 | 0,18 | 0,20 | 0,22 | 0,24 | 0,26 | 0,27 | 0,28 |
Расчетный угол наклона зуба βn св. 15 до 29° | ||||||||||||
10 (βn≥ 28°) | — | — | — | — | — | — | — | — | 0,49 | 0,52 | 0,53 | 0,54 |
11 (βn≥25°) | — | — | — | — | — | — | — | — | 0,48 | 0,49 | 0,51 | 0,52 |
12 (βn ≥ 20°) | — | — | — | — | — | — | — | 0,42 | 0,46 | 0,48 | 0,49 | 0,50 |
13 | — | — | — | — | — | 0,33 | 0,37 | 0,40 | 0,43 | 0,45 | 0,47 | 0,48 |
14 | — | — | — | 0,21 | 0,26 | 0,32 | 0,36 | 0,39 | 0,42 | 0,44 | 0,45 | 0,46 |
15 | — | — | 0,14 | 0,20 | 0,25 | 0,30 | 0,34 | 0,37 | 0,40 | 0,42 | 0,43 | 0,43 |
16 | — | 0,07 | 0,14 | 0,20 | 0,24 | 0,29 | 0,32 | 0,35 | 0,38 | 0,40 | 0,41 | 0,42 |
17 | 0,00 | 0,06 | 0,13 | 0,19 | 0,23 | 0,28 | 0,31 | 0,34 | 0,37 | 0,39 | 0,40 | 0,41 |
18 | 0,00 | 0,06 | 0,12 | 0,18 | 0,22 | 0,27 | 0,30 | 0,33 | 0,36 | 0,38 | 0,39 | 0,39 |
20 | 0,00 | 0,05 | 0,11 | 0,16 | 0,21 | 0,24 | 0,26 | 0,29 | 0,33 | 0,35 | 0,36 | 0,36 |
25 | 0,00 | 0,05 | 0,10 | 0,14 | 0,18 | 0,20 | 0,23 | 0,25 | 0,28 | 0,30 | 0,31 | 0,32 |
30 | 0,00 | 0,04 | 0,08 | 0,12 | 0,15 | 0,18 | 0,20 | 0,22 | 0,25 | 0,26 | 0,27 | 0,27 |
40 | 0,00 | 0,03 | 0,05 | 0,08 | 0,12 | 0,14 | 0,16 | 0,18 | 0,20 | 0,20 | 0,21 | 0,22 |
Расчетный угол наклона зуба βn св. 29 до 45° | ||||||||||||
6(βn ≥ 42°) | — | — | — | — | — | — | — | — | — | — | — | 0,70 |
7(βn ≥ 40°) | — | — | — | — | — | — | — | — | — | — | 0,65 | 0,66 |
8(βn ≥ 38°) | — | — | — | — | — | — | — | — | — | 0,51 | 0,53 | 0,54 |
9(βn ≥ 35°) | — | — | — | — | — | — | — | — | 0,46 | 0,49 | 0,50 | 0,52 |
10(βn ≥32°) | — | — | — | — | — | — | — | — | 0,44 | 0,47 | 0,47 | 0,48 |
11 | — | — | — | — | — | — | — | 0,38 | 0,41 | 0,44 | 0,45 | 0,45 |
12 | — | — | — | — | — | — | 0,32 | 0,37 | 0,39 | 0,41 | 0,42 | 0,43 |
13 | — | — | — | — | — | 0,27 | 0,30 | 0,35 | 0,37 | 0,39 | 0,40 | 0,41 |
14 | — | — | — | 0,18 | 0,23 | 0,26 | 0,29 | 0,33 | 0,35 | 0,37 | 0,38 | 0,38 |
15 | — | — | 0,12 | 0,17 | 0,22 | 0,25 | 0,27 | 0,31 | 0,33 | 0,35 | 0,36 | 0,37 |
16 | — | 0,06 | 0,11 | 0,16 | 0,21 | 0,24 | 0,26 | 0,30 | 0,32 | 0,34 | 0,35 | 0,35 |
18 | 0,00 | 0,05 | 0,10 | 0,15 | 0,19 | 0,22 | 0,24 | 0,27 | 0,30 | 0,32 | 0,32 | 0,33 |
20 | 0,00 | 0,05 | 0,09 | 0,13 | 0,17 | 0,20 | 0,22 | 0,26 | 0,28 | 0,29 | 0,29 | 0,30 |
25 | 0,00 | 0,04 | 0,08 | 0,11 | 0,15 | 0,17 | 0,19 | 0,21 | 0,24 | 0,25 | 0,25 | 0,26 |
30 | 0,00 | 0,03 | 0,07 | 0,09 | 0,11 | 0,15 | 0,16 | 0,18 | 0,21 | 0,22 | 0,22 | 0,23 |
40 | 0,00 | 0,03 | 0,05 | 0,07 | 0,09 | 0,11 | 0,11 | 0,14 | 0,16 | 0,17 | 0,17 | 0,18 |
Примечание. Данные таблицы могут быть использованы для повышающих передач при u < 1.
Выбор коэффициентов смещения и коэффициентов изменения расчетной толщины зуба исходного контура.
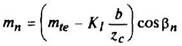
1. В передачах с u > 1 при разности твердости рабочих поверхностей зубьев шестерни и колеса менее 100НВ шестерню рекомендуется выполнять с положительным смещением (+хn1) по табл. 78, а колесо с равным ему по величине отрицательным смещением (хn2 = -хn1).
При u > 1 и разности твердости зубьев шестерни и колеса, превышающей 100HВ, передачу следует выполнять без смещения или равносмещенной с положительным смещением у шестерни, достаточным лишь для устранения подрезания зубьев.
Для передач, у которых u и z1 отличаются от указанных в табл. 78, коэффициенты смещения принимают с округлением в большую сторону.
2. При u≥ 2,5 и mn > 2мм зубчатые колеса рекомендуется выполнять не только со смещением, устанавливаемым по п. 1, но и с различной толщиной зуба исходного контура, увеличенной по сравнению с расчетной (πmn/2) у исходного контура шестерни и соответственно уменьшенной у исходного контура колеса.
Коэффициент изменения расчетной толщины зуба исходного контура хτ1, положительный для шестерни и равный ему по величине, но обратный по знаку хτ2 для колеса, рекомендуется принимать по табл. 79.

Рис. 39. Осевая форма зуба II:
1 - делительный конус; 2 - конус впадин

Рис. 40. Осевая форма зуба III:
1 - делительный конус; 2 - конус впадин; 3 - конус вершин
Для ответственных тяжело нагруженных передач значения хτ1 следует определять из расчета зубьев на изломную прочность.
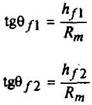
Коэффициенты для расчета угла ножек и угла головок зубьев конических зубчатых колес с осевой формой зуба II.
1. Для облегчения расчета коэффициента К, входящего в формулу для определения суммы углов ножек зубьев конических зубчатых колес с круговыми зубьями осевой формы
II при аn = 20°, приведена табл. 80, в которой
C1 = 10800tgβn / tgan
и
C2 = 2C1sinβn / d0
79. Коэффициенты изменения расчетной толщины зуба исходного контура для ортогональных конических зубчатых передач при исходном контуре пo ГОСТ 16202-81
Расчетный угол наклона зуба βnº | Значения xτ1 при передаточном числе передачи u | |||
от 2,5 до 4 | св. 4 до 6,3 | св. 6,3 до 8 | св. 8 до 10 | |
От 0 до 15 | 0,04 | 0,06 | 0,08 | 0,10 |
Св. 15 » 29 | 0,08 | 0,10 | 0,12 | 0,14 |
» 29 » 40 | 0,12 | 0,14 | 0,16 | 0,18 |
» 40 » 45 | 0,16 | 0,18 | 0,20 | 0,22 |
Примечания: 1. Значения хτ1 могут быть скорректированы до ближайшего значения xτ1 при данном mn по табл. 74, с тем чтобы обеспечить обработку колеса двусторонним методом при стандартном разводе резцов.
2. Для повышающих передач рекомендуется принимать хτ1 = 0.
80. Значения коэффициентов С1 и С2
Диаметр зуборезной головки d0, мм | Расчетный угол наклона βnº | |||||||
10 | 15 | 20 | 25 | 30 | 35 | 40 | 45 | |
Значение коэффициента С1 | ||||||||
5232 | 7951 | 10800 | 13837 | 17132 | 20777 | 24898 | 29673 | |
Значение коэффициента С2 | ||||||||
(12,7) | 143,1 | 324,1 | 581,7 | 920,9 | 1349 | 1877 | 2520 | 3304 |
20 | 90,85 | 205,8 | 369,4 | 584,8 | 856,6 | 1192 | 1600 | 2098 |
(27,94) | 65,05 | 147,3 | 264,4 | 418,6 | 613,2 | 853,0 | 1146 | 1502 |
25 | 72,68 | 164,6 | 295,5 | 467,8 | 685,3 | 953,4 | 1280 | 1678 |
32 | 56,78 | 128,6 | 230,9 | 365,5 | 535,4 | 744,8 | 1000 | 1311 |
(38,1) | 47,69 | 108,0 | 193,9 | 307,0 | 449,6 | 625,6 | 840,1 | 1101 |
40 | 45,43 | 102,9 | 184,7 | 292,4 | 428,3 | 595,9 | 800,2 | 1049 |
50 | 36,34 | 82,32 | 147,8 | 233,9 | 342,6 | 476,7 | 640,2 | 839,3 |
(50,8) | 35,77 | 71,02 | 145,4 | 230,2 | 337,2 | 469,2 | 630,1 | 826,1 |
60 | 30,28 | 68,60 | 123,1 | 194,9 | 285,5 | 397,2 | 533,5 | 699,4 |
80 | 22,71 | 51,45 | 92,35 | 146,2 | 244,21 | 297,9 | 400,1 | 524,6 |
(88,9) | 20,44 | 46,30 | 83,10 | 131,6 | 192,7 | 268,1 | 360,0 | 472,0 |
100 | 18,17 | 41,16 | 73,88 | 116,9 | 171,32 | 238,4 | 320,1 | 419,6 |
125 | 14,54 | 32,93 | 59,10 | 93,56 | 137,06 | 190,7 | 256,1 | 335,7 |
(152,4) | 11,92 | 27,00 | 48,48 | 76,74 | 112,4 | 156,4 | 210,0 | 275,4 |
160 | 11,36 | 25,72 | 46,17 | 73,10 | 107,08 | 148,9 | 200,1 | 262,28 |
(190,5) | 9,539 | 21,60 | 38,78 | 61,39 | 89,93 | 125,1 | 168,0 | 230,3 |
200 | 9,085 | 20,58 | 36,94 | 58,48 | 85,66 | 119,2 | 160,0 | 209,82 |
(228,6) | 7,949 | 18,00 | 32,32 | 51,16 | 74,94 | 104,3 | 140,0 | 183,6 |
250 | 7,268 | 16,46 | 29,55 | 46,78 | 68,53 | 95,34 | 128,0 | 167,86 |
(304,8) | 5,962 | 13,50 | 24,24 | 38,37 | 56,21 | 78,20 | 105,0 | 137,7 |
315 | 5,768 | 13,07 | 23,45 | 37,13 | 54,38 | 75,67 | 101,6 | 133,22 |
400 | 4,543 | 10,29 | 18,47 | 29,24 | 42,83 | 59,59 | 80,02 | 104,91 |
(457,2) | 3,974 | 9,002 | 16,16 | 25,58 | 34,47 | 52,13 | 70,01 | 91,78 |
500 | 3,634 | 8,233 | 14,78 | 23,39 | 34,26 | 47,67 | 64,02 | 83,93 |
630 | 2,884 | 6,533 | 11,73 | 18,56 | 27,19 | 37,83 | 50,81 | 66,61 |
800 | 2,271 | 5,145 | 9,24 | 14,62 | 21,42 | 29,79 | 40,01 | 52,46 |
1000 | 1,817 | 4,116 | 7,39 | 11,70 | 17,13 | 23,84 | 32,01 | 41,96 |
При βn= 0 С1 = 0 и С2 = 0
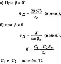
Коэффициенты К, С1 и С2 связаны зависимостью
К = (C1-C2R)/zc
При К > 500 следует уменьшить d0 или перейти на осевую форму зуба I. При К ≤ 0 рекомендуется увеличить d0 и перейти на осевую форму зуба III.
2. При проектировании конических зубчатых колес с круговыми зубьями осевой формы II для обеспечения приблизительного постоянства ширины вершинной ленточки по всей длине зуба при определенном сочетании значений βn, z1 и u вынужденно принимают θa1 ≠ θа2 и θa2 = θf1, допуская тем самым переменный радиальный зазор в передаче.
В табл. 81 приведены значения коэффициента угла головки зуба Ка, равного отношению угла головки зуба данного зубчатого колеса к углу ножки зуба сопряженного с ним зубчатого колеса, для передач, выполненных в соответствии с исходным контуром по ГОСТ 16202-81 и с коэффициентами хn1 и хτ1, рекомендованными в табл. 79 при k0 = R/d0 от 0,3 до 0,7.
81. Значение коэффициента угла головки зуба Ка
(при Σ = 90°, аn = 20°, ha* = 1,0; хn1 и xτ1 по табл. 78 и 79 и k0 = R/d0 от 0,3 до 0,7)
βnº | z1 | Значение коэффициента угла головки зуба Ка при передаточном числе u | ||||
От 1,0 до 1,25 | Св. 1,25 до 1,6 | Св. 1,6до 2,5 | Св. 2,5до 4,0 | Св. 4,0 | ||
От 0 до 15 | 12-13 | — | — | — | 0,70/0,95 | 0,65/0,95 |
14-15 | 0,75/0,85 | 0,75/0,90 | 0,75/0,95 | 0,70/0,95 | ||
16-19 | 0,80/0,80 | 0,80/0,85 | 0,80/0,95 | 0,75/0,95 | 0,75/1,00 | |
20-24 | 0,85/0,85 | 0,80/0,85 | 0,80/0,95 | 0,80/0,95 | 0,80/1,00 | |
25-29 | 0,85/0,85 | 0,85/0,90 | 0,85/0,95 | 0,85/0,95 | 0,80/1,00 | |
30-40 | 0,90/0,90 | 0,85/0,90 | 0,85/0,95 | 0,85/0,95 | 0,85/1,00 | |
Св. 40 | 0,90/0,90 | 0,90/0,95 | 0,85/0,95 | 0,85/0,95 | 0,85/1,00 | |
Св. 15 до 29 | 10-11 | — | — | — | 0,75/0,95 | 0,75/1,00 |
12-13 | 0,80/0,90 | 0,80/0,95 | 0,75/1,00 | |||
14-15 | 0,85/0,90 | 0,80/0,90 | 0,80/0,95 | 0,80/1,00 | ||
16-19 | 0,85/0,85 | 0,85/0,90 | 0,85/0,95 | 0,85/0,95 | 0,85/1,00 | |
20-24 | 0,90/0,90 | 0,85/0,90 | 0,85/0,95 | 0,85/0,95 | 0,85/1,00 | |
25-29 | 0,90/0,90 | 0,90/0,90 | 0,90/0,95 | 0,90/0,95 | 0,90/1,00 | |
30-40 | 0,90/0,90 | 0,90/0,95 | 0,90/0,95 | 0,90/1,00 | 0,90/1,00 | |
Св. 40 | 0,95/0,95 | 0,95/0,95 | 0,90/0,95 | 0,90/1,00 | 0,90/1,00 | |
Св. 29 до 45 | 6-7 | — | — | — | — | 0,75/1,00 |
8-9 | 0,75/1,00 | |||||
10-11 | 0,80/1,00 | 0,80/1,00 | ||||
12-13 | 0,90/1,00 | 0,85/1,00 | 0,85/1,00 | |||
14-15 | 0,90/0,90 | 0,90/1,00 | 0,90/1,00 | 0,85/1,00 | ||
16-17 | 0,90/0,90 | 0,90/1,00 | 0,90/1,00 | 0,90/1,00 | 0,90/1,00 | |
18-19 | 0,90/0,90 | 0,90/1,00 | 0,90/1,00 | 0,90/1,00 | 0,90/1,00 | |
20-24 | 1,00/1,00 | 1,00/1,00 | 1,00/1,00 | 0,90/1,00 | 0,90/1,00 | |
25-30 | 1,00/1,00 | 1,00/1,00 | 1,00/1,00 | 1,00/1,00 | 1,00/1,00 | |
Св. 30 | 1,00/1,00 | 1,00/1,00 | 1,00/1,00 | 1,00/1,00 | 1,00/1,00 | |
Примечания:
1. В числителе приведены значения Ка для шестерни, в знаменателе - для колеса.
2. Допускается использовать данные таблицы при значениях хτ1, отличных от указанных в табл. 79
82. Формулы и примеры расчета основных геометрических параметров ортогональной конической передачи с круговыми зубьями при стандартном исходном контуре
Линейные размеры, мм
Параметры и обозначения | Расчетные формулы и указания | Числовые примеры | ||||||||||||||||||||||||||||||||
1 | 2 | 3 | ||||||||||||||||||||||||||||||||
Исходные данные | Число зубьев | шестерни z1 | — | 20 | 17 | 18 | ||||||||||||||||||||||||||||
колеса z2 | 50 | 34 | 58 | |||||||||||||||||||||||||||||||
Модуль | средний нормальный (расчетный) mn | — | — | 3 | — | |||||||||||||||||||||||||||||
внешний окружной mte | 10 | — | 20 | |||||||||||||||||||||||||||||||
Средний угол наклона зуба (расчетный) βn | — | 35° | 25° | 30° | ||||||||||||||||||||||||||||||
Направлениелинии зуба | шестерни | — | Правое | Правое | Левое | |||||||||||||||||||||||||||||
колеса | Левое | Левое | Правое | |||||||||||||||||||||||||||||||
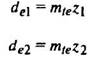
Средний нормальный исходный контур Межосевой угол Σ | — | По ГОСТ 16202-81 90º | ||||||||||||||||||||||||||||||||
1. Число зубьев плоского колеса zc 2. Среднее конусное расстояние (при заданномmn) Rm 3. Внешнее конусное расстояние (при заданном mte )Re 4. Выбор осевой формы зуба 5. Номинальный диаметр зуборезной головки (шлифовального круга) d0 |
| 53,8516 — 269,2580 I 400 | 38,0132 62,9142 — II 160 | 60,7289 — 607,2890 III 630 |
| |||||||||||||||||||||||||||||
6. Угол делительного конуса δ1 |
| 21°48' 68°12' 0,37137 0,92848 | 26°34' 63°26' 0,44724 0,89441 | 17°14' 72°46' 0,29626 0,95511 |
| |||||||||||||||||||||||||||||
7. Ширина зубчатого венца b 8. Передаточное число u 9. Коэффициент смещения у шестерни хn1 10. Коэффициент изменения толщины зуба шестерни хτ1 | u = z2 / z1 | 75 2,50 0,26 0,12 | 22 2,00 0,31 0 | 125 3,22 0,30 0,12 |
| |||||||||||||||||||||||||||||
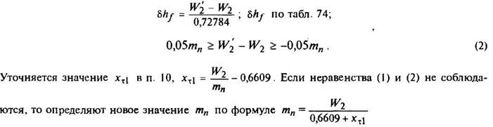
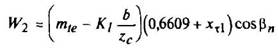
11. Развод резцов зуборезной головки W2' для чистовой обработки колеса | Расчет при заданномmn | W2' = mn (0,6609 + xτ1) | — | W2' = 1,9827 И^2 - 2,00 | — | |||||||||||||||||||||||||||||
При xτ1 = 0 0,5mn ≥ W2'-W2 ≥ 0,02mn (1) | — | Неравенствособлюдается δhf=0,024 | — | |||||||||||||||||||||||||||||||
| ||||||||||||||||||||||||||||||||||
12. Расстояние от внешнего торца до расчетного сечения lе 13 Внешнее конусное расстояние Re 14. Внешний окружной модуль mtg |
| — | — le= 12,0858; Re' = 75 (задано) 75,0000 3,9460 | — | ||||||||||||||||||||||||||||||
15. Развод резцов зуборезной головки для чистовой двусторонней обработки колеса | Расчет при заданном mtе |
| W2 = 5,2 при Kl= 1,0 βn = 35°; xτ1 = 0,08 (уточненное значение) | — | W2 = 12,0 при Kl=1,0; xτ1 = 0,14 (уточненное значение); βn = 35º16'34" (уточненное значение); cosβn= 0,83604 |
| ||||||||||||||||||||||||||||
16. Нормальный модуль в расчетном сечении mn |
| 7,0507 | — | 15,0000 |
| |||||||||||||||||||||||||||||
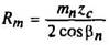
17. Среднее конусное расстояние Rm |
| 231,7594 | — | 544,7906 |
| |||||||||||||||||||||||||||||
18. Расстояние от внешнего торца до расчетного сечения lе | le = Re - Rm | 37,4986≈ 37,5 | 62,4984≈ 62,5 |
| ||||||||||||||||||||||||||||||
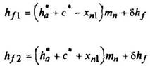
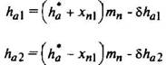
19. Высота ножки зуба в расчетном сечении |
| 6,9801 10,6466 | 2,7958 4,6558 | 14,2500 23,2500 |
| |||||||||||||||||||||||||||||
20. Нормальная толщина зуба в расчетном сечении sn |
| 12,9735 9,1770 | 5,3893 4,0355 | 28,9365 18,1875 |
| |||||||||||||||||||||||||||||
21. Сумма углов ножек шестерни и колеса только для зубчатых колес с осевой формой зyбaθfΣ |
| — | 568 240 | — |
| |||||||||||||||||||||||||||||
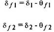
22. Угол ножки зуба θf | Осевая форма зуба I |
|
| — | — |
| ||||||||||||||||||||||||||||
Осевая форма зуба II |
| — — |
| — — |
| |||||||||||||||||||||||||||||
Осевая форма зуба III | θf1= 0 θf2= 0 | — | — | 0 0 | ||||||||||||||||||||||||||||||
23. Угол головки зуба θa | Осевая форма зуба I | θa1 =θf2 θa2 = θf1 | 2°38' tgθa1 = 0,04599 1º44' tgθa2= 0,0326 | — | — | |||||||||||||||||||||||||||||
Осевая форма зуба II | θa1 = Ka1θf2 θa2 = Ka2θf1 Ка - коэффициенты для расчета угла ножек и угла головки зубьев | — | 4°36' (Ка1 =0,85) tgθa1 = 0,08046 3°51' (Ка2 =0,95) tgθa2 = 0,06730 | — | ||||||||||||||||||||||||||||||
Осевая форма зуба III | θa1 = 0 θa2 = 0 | — | — | 0 0 | ||||||||||||||||||||||||||||||
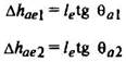
24. Увеличение высоты головки зуба при переходе от расчетного сечения на внешний торец Δhaе |
| 1,7246 1,1347 | 0,9724 0,8134 | 0 0 | ||||||||||||||||||||||||||||||
25. Увеличение высоты ножки зуба при переходе от расчетного сечения на внешний торец Δhfe |
| 1,1347 1,7246 | 0,8557 1,1460 | 0 0 |
| |||||||||||||||||||||||||||||
26. Уменьшение высоты головки зуба в расчетном сечении δhа |
| 0 0 | 0,1424 0,0347 | 0 0 |
| |||||||||||||||||||||||||||||
27. Высота головки зуба в расчетном сечении ha |
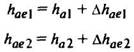
| 8,8839 5,2157 | 3,7876 2,0353 | 19,5000 10,5000 |
| |||||||||||||||||||||||||||||
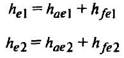
28. Внешняя высота головки зуба hae |
| 10,6085 6,3522 | 4,7600 2,8487 | 19,5000 10,5000 |
| |||||||||||||||||||||||||||||
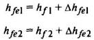
29. Внешняя высота ножки зуба hfe |
| 8,1148 12,3712 | 3,6515 5,8018 | 14,2500 23,2500 |
| |||||||||||||||||||||||||||||
30. Внешняя высота зуба hе |
| 18,7233 18,7234 | 8,4115 8,6505 | 33,7500 33,7500 |
| |||||||||||||||||||||||||||||
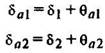
31. Угол конуса вершин δа |
| 24º26' 69º56' | 31°10' 67º47' | 17°14' 72º46' |
| |||||||||||||||||||||||||||||
32 Угол конуса впадин δf |
| 20°04' 65°34' | 22º31' 58°01' | 17°14' 72°46' |
| |||||||||||||||||||||||||||||
33. Средний делительный диаметр dm |
| 172,1467 430,3668 | 56,2721 112,5442 | 322,9163 1040,5080 |
| |||||||||||||||||||||||||||||
34. Внешний делительный диаметр de |
| 200 500 | 67,0820 134,1640 | 360,0000 1160,0000 |
| |||||||||||||||||||||||||||||
35. Внешний диаметр вершин зубьев dae |
| 219,6995 504,7180 | 75,5968 136,7123 | 397,2493 1166,2215 |
| |||||||||||||||||||||||||||||
36. Расстояние от вершины до плоскости внешней окружности вершин зубьев В |
| 246,0603 94,1068 | 64,9530 30,9931 | 574,2229 169,9713 |
| |||||||||||||||||||||||||||||
37. Постоянная хорда зуба в расчетном сечении |
| — | 4,7587 3,5633 | 25,5509 16,0595 |
| |||||||||||||||||||||||||||||
38. Высота до постоянной хорды зуба в расчетном сечении |
| — | 2,9215 1,3808 | 14,8499 7,5773 |
| |||||||||||||||||||||||||||||
39. Половина угловой толщины зуба в нормальном сечении ψn (в радианах) |
| 0,0469 0,0053 | — | — |
| |||||||||||||||||||||||||||||
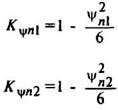
40. Коэффициент, зависящий от угловой толщины зуба в нормальном сечении, Кψn |
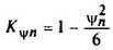
| 0,9996 1,0000 | — | — |
| |||||||||||||||||||||||||||||
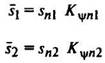
41. Толщина зуба по хорде в расчетном сечении |
| 12,9682 9,1770 | — | — |
| |||||||||||||||||||||||||||||
42. Высота до хорды в расчетном сечении h |
| 9,0360 5,2296 | — | — |
| |||||||||||||||||||||||||||||
ГОСТ 19326-73 предусматривает более полный расчет конических передач с круговыми зубьями и, в частности, с межосевым расстоянием Σ ≠ 90º.
83. Значения коэффициента Кψn

ψn | Kψn | ψn | Kψn | ψn | Kψn | ψn | Kψn | ψn | Kψn | ψn | Kψn |
0,005 | 1,0000 | 0,105 | 0,9981 | 0,205 | 0,9930 | 0,305 | 0,9845 | 0,405 | 0,9727 | 0,505 | 0,9575 |
0,010 | 1,0000 | 0,110 | 0,9980 | 0,210 | 0,9926 | 0,310 | 0,9840 | 0,410 | 0,9720 | 0,510 | 0,9566 |
0,015 | 0,9999 | 0,115 | 0,9978 | 0,215 | 0,9923 | 0,315 | 0,9834 | 0,415 | 0,9713 | 0,515 | 0,9559 |
0,020 | 0,9999 | 0,120 | 0,9976 | 0,220 | 0,9919 | 0,320 | 0,9829 | 0,420 | 0,9706 | 0,520 | 0,9549 |
0,025 | 0,9999 | 0,125 | 0,9974 | 0,225 | 0,9915 | 0,325 | 0,9824 | 0,425 | 0,9699 | 0,525 | 0,9540 |
0,030 | 0,9998 | 0,130 | 0,9972 | 0,230 | 0,9912 | 0,330 | 0,9818 | 0,430 | 0,9692 | 0,530 | 0,9532 |
0,035 | 0,9998 | 0,135 | 0,9970 | 0,235 | 0,9908 | 0,335 | 0,9813 | 0,435 | 0,9685 | 0,535 | 0,9523 |
0,040 | 0,9997 | 0,140 | 0,9967 | 0,240 | 0,9904 | 0,340 | 0,9807 | 0,440 | 0,9677 | 0,540 | 0,9514 |
0,045 | 0,9996 | 0,145 | 0,9965 | 0,245 | 0,9900 | 0,345 | 0,9802 | 0,445 | 0,9670 | 0,545 | 0,9505 |
0,050 | 0,9996 | 0,150 | 0,9962 | 0,250 | 0,9896 | 0,350 | 0,9796 | 0,450 | 0,9662 | 0,550 | 0,9496 |
0,055 | 0,9995 | 0,155 | 0,9960 | 0,255 | 0,9893 | 0,355 | 0,9790 | 0,455 | 0,9655 | 0,555 | 0,9487 |
0,060 | 0,9994 | 0,160 | 0,9957 | 0,260 | 0,9887 | 0,360 | 0,9784 | 0,460 | 0,9648 | 0,560 | 0,9477 |
0,065 | 0,9993 | 0,165 | 0,9955 | 0,265 | 0,9883 | 0,365 | 0,9778 | 0,465 | 0,9638 | 0,565 | 0,9467 |
0,070 | 0,9992 | 0,170 | 0,9952 | 0,270 | 0,9878 | 0,370 | 0,9772 | 0,470 | 0,9632 | 0,570 | 0,9458 |
0,075 | 0,9990 | 0,175 | 0,9949 | 0,275 | 0,9874 | 0,375 | 0,9766 | 0,475 | 0,9624 | 0,575 | 0,9449 |
0,080 | 0,9989 | 0,180 | 0,9946 | 0,280 | 0,9869 | 0,380 | 0,9759 | 0,480 | 0,9616 | 0,580 | 0,9439 |
0,085 | 0,9988 | 0,185 | 0,9943 | 0,285 | 0,9864 | 0,385 | 0,9753 | 0,485 | 0,9608 | 0,585 | 0,9429 |
0,090 | 0,9986 | 0,190 | 0,9940 | 0,290 | 0,9860 | 0,390 | 0,9746 | 0,490 | 0,9600 | 0,590 | 0,9420 |
0,095 | 0,9985 | 0,195 | 0,9936 | 0,295 | 0,9855 | 0,395 | 0,9740 | 0,495 | 0,9592 | 0,595 | 0,9410 |
0,100 | 0,9983 | 0,200 | 0,9933 | 0,300 | 0,9850 | 0,400 | 0,9733 | 0,500 | 0,9583 | 0,600 | 0,9400 |
84. Твердость и ударная вязкость зубчатых колес
Параметры | Вал-шестерня | Колесо | |
улучшенное | закаленное | ||
Твердость рабочих поверхностей зубьев и посадочных шеек валов-шестерен | 56 ... 60HRC | 260 ... 290НВ | 56 ... 60HRC |
Твердость сердцевины зубьев, шпоночных пазов и тела зубчатых колес | 35 ... 40HRC | 260 ... 290НВ | 35 ... 40HRC |
Ударная вязкость сердцевины зубьев | Не ниже 45Н·м/см2 | ||
Технические требования. Твердость рабочих поверхностей зубьев, шпоночных пазов и тела зубчатых колес, а также твердость и ударная вязкость сердцевины зубьев приведены в табл. 84.
Допускается изготовление колес конических зубчатых пар с твердостью поверхности зубьев 45 ... 50HRC, твердостью сердцевины зубьев 40 ... 45HRC и ударной вязкостью сердцевины не ниже 35Н·м/см2.
Модуль торцовый, мм | До 4 | Св. 4 до 6 |
Глубина цементованного слоя,мм | 0,75-1,0 | 1,0-1,3 |
Модуль торцовый,мм | Св. 6 до 8 | Св. 8 |
Глубина цементованного слоя,мм | 1,2-1,5 | 1,4-1,8 |
Глубина цементованного слоя на зубьях с твердостью поверхности 56 ... 60HRC.
Несоосность поверхностей базовых шеек валов-шестерен под подшипники и торцовое биение опорных торцов валов-шестерен должны быть не более 0,01мм, а биение опорных торцов ступиц насадных зубчатых колес - не более 0,02мм.
Овальность и конусность посадочных отверстий зубчатых колес и базовых шеек валов-шестерен под подшипники должны быть в пределах половины допуска на диаметр, а неплоскостность торцов ступиц зубчатых колес и опорных торцов валов-шестерен - в пределах допуска на торцовое биение.
Допуски на смещение и перекос шпоночных пазов в отверстиях колес должны быть в пределах допуска на ширину шпоночного паза, а допуски на смещение и перекос шпоночных пазов на валах-шестернях - в пределах удвоенного допуска на ширину шпоночного паза.
Острые кромки на торцах зубьев должны быть скруглены радиусом, равным 0,5мм, или ограничены фаской 0,5×45°.
Зубчатые колеса с диаметром вершин зубьев свыше 100мм должны быть подвергнуты статической балансировке. При этом допускается для колес с диаметром до 350мм смешение центра тяжести не более 0,05мм, а для колес с диаметром свыше 350мм - 0,06мм
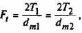
где T1 и Т2 - моменты на шестерне и колесе






































