0 руб
Оформить заказСцепные муфты служат для включения и выключения валов при их движении или во время остановки.
Установочные муфты применяют в механизмах настройки и фиксации расположения узлов.
Одна из полумуфт неподвижно закреплена на ведущем валу, а другая перемещается на шпонках или шлицах ведомого вала вручную или автоматически. Отсутствие относительного перемещения полумуфт позволяет применять муфты в кинематических цепях, не допускающих колебаний передаточного отношения (в резьбонарезных станках, в делительных цепях зуборезных станков и т. д.).
Основным недостатком кулачковых муфт является невозможность включений на быстром ходу; разность окружных скоростей на сцепляемых кулачках не должна превышать 0,7—0,8м/с; практически для обычных кулачковых станочных муфт разность чисел оборотов не должна превышать 100—150 оборотов в минуту.
13. Муфты с центрирующей втулкой
Размеры, мм

d | D | L | a | b | с | h |
35-40 | 100 | 200 | 70 | 95 | 5 | 30 |
55-60 | 150 | 275 | 90 | 139 | 6 | 40 |
80 | 200 | 350 | 110 | 182 | 8 | 50 |
100 | 250 | 435 | 140 | 225 | 10 | 60 |
125 | 300 | 500 | 160 | 260 | 10 | 70 |
Чаше всего бывает три кулачка на полумуфте.
Центрирующая втулка крепится в ведущей полумуфте. Материал — сталь 35.
14. Элементы кулачковых муфт
Число кулачков z = 3

Размеры, мм
D | Вращающий момент Т, Н·см | d Н7 | d1 | h1 | h | с | К | f | а, град |
40 | 6500 | 20 | 28 | 6 | 4 | 11,83 | 15,82 | 0,5 | 45 |
45 | 8500 | 22 | 30 | 6 | 4 | 12,71 | 17,73 | 0,5 | 45 |
50 | 12500 | 25 | 32 | 6 | 4 | 13,58 | 19,65 | 0,5 | 45 |
55 | 17500 | 28 | 35 | 6 | 4 J | 14,89 | 21,56 | 0,5 | 45 |
60 | 26000 | 32 | 40 | 8 | 6 | 16,89 | 23,73 | 0,8 | 45 |
70 | 34000 | 35 | 45 | 8 | 6 | 19,08 | 22,43 | 0,8 | 36 |
80 | 51000 | 40 | 50 | 8 | 6 | 21,28 | 25,52 | 0,8 | 36 |
90 | 73000 | 45 | 55 | 8 | 6 | 23,43 | 28,61 | 0,8 | 36 |
100 | 100000 | 50 | 60 | 10 | 8 | 25,47 | 26,55 | 1,2 | 36 |
ПО | 133 000 | 55 | 65 | 10 | 8 | 27,65 | 28,86 | 1,2 | 30 |
125 | 173000 | 60 | 75 | 10 | 8 | 31,97 | 33,4 | 1,2 | 30 |
140 | 275000 | 70 | 85 | 12 | 10 | 36,17 | 37,59 | 1,5 | 30 |
160 | 410000 | 80 | 95 | 12 | 10 | 40,51 | 42,77 | 1,5 | 30 |
Вращающий момент рассчитан для кулачкового венца, изготовленного из стали 20Х с твердостью 60 ... 64HRCэ или стали 45 с твердостью 50 ... 54HRCэ. Направление вращения вала — в обе стороны.
Разность угловых скоростей, при которых допускается включение сцепных муфт на ходу:
разность угловых скоростей, мин-1 | До 450 | 300-400 | 200-250 | 150-200 |
D, мм | 40 | 40-60 | 70-100 | 110-160 |
Степень вероятности включения муфты без холостых проворотов:
вероятность, % | 27 | 42 | 52 |
D, мм | 40-60 | 70-100 | 110-160 |
15. Передвижная часть кулачковых муфт
Конструкция и размеры необязательны: данные приводятся в качестве образца для конструирования.
Размеры, мм
Исполнение I — односторонней кулачковой муфты

Исполнение II — двусторонней кулачковой муфты

D | d Н7 | D1 | L | L1 | l | b Н11 | b1 Н9 | t | r, не более | r1 | с |
40 | 20 | 30 | 40 | 30 | 15 | 10 | 6 | 24,6+0,12 | 0,5 | 0,3 | 0,5 |
45 | 22 | 35 | 40 | 30 | 15 | 10 | 6 | 26,6+0,12 | 0,5 | 0,3 | 0,5 |
50 | 25 | 38 | 50 | 38 | 19 | 12 | 6 | 29,6+0,12 | 0,8 | 0,3 | 0,5 |
55 | 28 | 43 | 50 | 38 | 19 | 12 | 8 | 33,2+0,12 | 0,8 | 0,3 | 1,0 |
60 | 32 | 48 | 60 | 45 | 22 | 16 | 8 | 37,2+0,12 | 1,0 | 0,3 | 1,0 |
70 | 35 | 54 | 70 | 50 | 27 | 16 | 8 | 40,2+0,12 | 1,0 | 0,3 | 1,0 |
80 | 40 | 60 | 80 | 60 | 30 | 20 | 12 | 45,8+0,12 | 1,2 | 0,3 | 1.0 |
90 | 45 | 70 | 90 | 70 | 35 | 20 | 12 | 50,8+0,12 | U | 0,3 | 1,0 |
100 | 50 | 80 | 100 | 80 | 40 | 20 | 12 | 55,8+0,12 | 1,2 | 0,3 | 1,0 |
110 | 55 | 90 | 110 | 90 | 45 | 20 | 16 | 62,2+0,16 | 1,5 | 0,5 | 1,5 |
125 | 60 | 100 | 125 | 100 | 50 | 25 | 16 | 67,2+0,16 | 1,5 | 0,5 | 1.5 |
140 | 70 | 115 | 135 | 110 | 55 | 25 | 16 | 77,2+0,16 | 1,5 | 0,5 | 1,5 |
160 | 80 | 135 | 155 | 120 | 65 | 25 | 20 | 88,6+0,16 | 1,5 | 0,5 | 1,5 |
Материал — сталь 20Х, твердость кулачков 60…64 HRCэ; сталь 45, твердость кулачков 50 ... 54 HRCэ.
16. Расчетные формулы для кулачковых сцепных муфт
Показатели | Расчетные формулы | Буквенные обозначения |
Передаваемый вращающий момент (рассчитан по контактным напряжениям для условия длительной работы без значительных колебаний по величине нагрузки) |
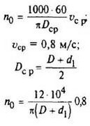
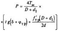
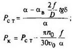
| Тм - наибольший вращающий момент, передаваемый муфтой, Н·мм; Тв - вращающий момент, передаваемый валом, Н·мм; W0 - момент сопротивления вала, мм3; d – диаметр вала, мм; n0 - наибольшая разность угловых скоростей, мин-1; D и d1 - соответственно наружный и внутренний диаметры кулачков, мм; φтр - угол трения на кулачках; δ - угол профиля кулачка; f'тp - приведенный коэффициент трения на шпонке или на шлицах; а - центральный угол кулачка (2π/z); аβ - центральный угол, соответствующий ширине вершины кулачка по наружному диаметру; f - минимально допустимая глубина захода кулачка во впадину в момент включения, мм; v0 - осевая скорость включения, мм/с; Pст - статическая вероятность включения (при n0 = 0); Pк - кинематическая вероятность включения |
Наибольшая разность угловых скоростей, при которой допускается включение муфты на ходу |
| |
Усилие включения на кулачковом венце |
| |
Степень вероятности включения муфты без холостого проворота |
|



