0 руб
Оформить заказИсходные данные. Тяговое усилие Q, Н ; наружный d, средний d2 и внутренний d1 диаметры винта, мм; ход винтовой линии S, мм; число заходов резьбы z; длина гайки l, мм; предел текучести σт материала винта, МПа. Резьбу ходовых винтов делают преимущественно трапецеидальной.
Расчет на прочность (рис. 1). Угол подъема винтовой линии резьбы
tgβ= S/πd2
КПД передачи
η= tgβ/ tg(β + p),
при малых скоростях скольжения (≈ 0,01м/с) угол трения р = 6…8°.
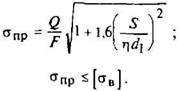
Допускаемое напряжение в материале винта, МПа,
[σв] = σт / 3…3,5.
Расчетная площадь сечения винта, мм2,
F = 0,78d12
Приведенное напряжение винта, МПа,

Расчет на износостойкость.
t2 = (d-d1)/2
Среднее давление на рабочих поверхностях резьбы, МПа,

где [q] - по табл. 1.
Расчет на устойчивость (рис. 2). За расчетную длину винта L принимают наибольшее возможное расстояние между опорами винта.
Дополнительные исходные данные: диаметр левой опоры винта d'oп, мм; диаметр правой опоры винта d''оп, мм; длина левой опоры винта l'оп, мм; длина правой опоры винта l'оп, мм; модуль упругости материала винта Е, МПа.

Рис. 1. Схема и данные для расчета на прочность и износостойкость

Рис. 2. Схема и данные для расчета на износостойкость
1. Допускаемые значения среднего давления
Винтовые передачи | Материал | [q], МПа | |
винта | гайки | ||
Для точных расчетных перемещений (винты рабочих подач винторезных и других станков) | Сталь | Бронза | 5,0 |
Сталь | Чугун | 2,0 | |
Другие ответственные передачи (в механизмах подачи фрезерных и других станков) | Сталь | Бронза | 12,0 |
Сталь | Чугун | 8,0 | |
Примечания:
1. При l/d2 = 2,5 приведенные в таблице значения можно повышать примерно на 20%.
2. Для разъемных маточных гаек, у которых часть резьбы срезана, приведенные в таблице значения [q] следует уменьшать на 15—20%.
2. Закрепление винта в опоре и значения коэффициента m
Схема закрепления винта | m | Схема закрепления винта | m | |
| 40 |
| 18 | |
| 28 | |||
| 10 | |||
| 20 |
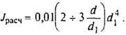
Расчетный момент инерции поперечного сечения винта, мм4,

Характеристика левой опоры винта λ' = l'оп/d'оп, правой λ'' = l''оп/d''оп; для опорной гайки за doп принимается средний диаметр d2 резьбы.
Расчетныйзaпac устойчивости

где m - по табл. 2.
Вид опор винта устанавливают в зависимости отλоп:
приλоп < 1,5 - опора шарнирная;
приλоп > 3 - винт заделан в опоре;
приλоп = 1,5…3 - винт закреплен в опоре упруго. Это справедливо и для неразъемных гаек; разъемные гайки следует рассматривать как шарнирную опору.
3. Допускаемая накопленная ошибка шага винтов, мкм
Класс точности винта | В пределах одного шага | На длине, мм | На каждые следующие 300мм длины добавляется | На всей длине винта, не более | ||
25 | 100 | 300 | ||||
0 | ±2 | 2 | 3 | 5 | 2 | 10 |
1 | ±3 | 5 | 6 | 9 | 3 | 20 |
2 | ±6 | 9 | 12 | 18 | 5 | 40 |
3 | ±12 | 18 | 25 | 35 | 10 | 80 |
4 | ±25 | 35 | 50 | 70 | 20 | 100 |
Необходимые значения запаса устойчивости nу:
а) для вертикальных ходовых винтов nу = 2,5, если на винт не действуют поперечные силы и расчетное усилие Q является минимальным, в противном случае nу = 3…4.
б) для горизонтальных ходовых винтов nу = 4…5;
в винторезных станках и во фрезерных станках nу = 3…4.
Материалы для ходовых винтов. Для термически необработанных ходовых винтов к токарным станкам нормальной и повышенной точности лучшим материалом является горячекатаная сталь А40Г. Применяют также сталь 45 и 40Х улучшенную.
Для ходовых винтов 0 и 1-го классов точности в случае окончательной обработки резцом применяют сталь У10А. Сталь отжигают на твердость 197НВ.
Для закаливаемых и шлифуемых по профилю резьбы ходовых винтов 0 и 1-го классов точности применяют сталь марок 40ХГ и 65Г. обладающую высокой износостойкостью.
Гайки для винтов 0; 1 и 2-го классов точности изготовляют из бронзы марок БрО10Ф1 и БрО6Ц6С3; для винтов 3 и 4-го классов точности - из антифрикционного чугуна.
Допускаемые отклонения винтов. В зависимости от назначения, точности и предъявляемых в эксплуатации требований устанавливают 5 классов точности ходовых винтов: 0, 1, 2, 3 и 4.
1. Наибольшая допускаемая накопленная ошибка шага приведена в табл. 3.
2. Допуски на наружный, средний и внутренний диаметры резьбы винтов устанавливают не более соответствующих допусков на трапецеидальную резьбу по ГОСТ 9484-81 с полем допуска 7Н по ГОСТ 9562-81.
3. Для обеспечения требуемой точности винтов по шагу и для предохранения резьбы винтов от быстрой потери точности в результате местного износа присвоены отклонения на овальность среднего диаметра винта, приведенные в табл. 4.
4. Допускаемое отклонение среднего диаметра винта на овальность, мкм
Класс точности винта | Овальность при шаге, мм | Конусообразность,мкм | ||
3-5 | 6-10 | 12-20 | ||
0 1 2 3 4 | 3 5 7 10 15 | 3 5 8 12 18 | 5 7 10 15 20 | 5 8 10 15 20 |
5. Допускаемое биение наружного диаметра винтов, мкм
Класс точности винта | Для винта длиной, м | |||
До1 | Св. 1до 2 | Св. 2 до 4 | Св. 4до 6 | |
0 1 2 3 4 | 20 40 80 120 200 | 40 60 100 150 250 | - - 150 200 300 | - - 200 300 - |
6. Допускаемые отклонения на половину угла профиля, минуты
Класс точности винта | При шагах винта, мм | ||
3-5 | 6-10 | 12-20 | |
0 1 2 3 | 12 15 20 30 | 10 12 18 25 | 8 10 15 20 |
Примечание. Для винтов 4-го класса точности отклонения не регламентируются и ограничиваются лишь величиной допуска на средний диаметр.
Допускаемые отклонения шага и профиля ходовых винтов 0 и 1-го классов точности должны обеспечиваться соответствующей жесткостью, характеризуемой отношением L/ d2:
для 0-го класса точности L / d2 ≤ 20;
для 1-го класса точности L / d2 ≤ 25, где L- длина резьбы; d2 - средний диаметр резьбы.
4. Наружный диаметр винта в одном перпендикулярном его оси сечении должен отличаться от наружного диаметра в любом таком же сечении винта не более чем на величину допуска по h5 для винтов 0, 1 и 2-го класса точности, по h6 для винтов 3-го класса и по f 7 для винтов 4-го класса точности.
В тех случаях, когда наружный диаметп винта служит технологической базой (при нарезании резьбы), его выполняют по h5 для винтов 0, 1 и 2-го класса точности, по h6 для винтов 3-го класса; по f 7 для винтов 4-го класса точности.5.
Биение наружного диаметра ходовых винтов при проверке их в центрах допускается в пределах, указанных в табл. 5.
6. Для каждой половины угла профиля резьбы винтов устанавливают допускаемые отклонения, приведенные в табл. 6.
Допускаемые отклонения гайки. 1. Допуски на наружный, средний и внутренний диаметры резьбы гаек устанавливают не более соответствующих допусков на трапецеидальную резьбу по ГОСТ 9484-81 с полем допуска Н8 по ГОСТ 9562-81.
2. Для разрезной гайки ее наружный диаметр резьбы назначают из условий обеспечения прилегания гайки к винту по профилю, поэтому его задают большим на 0,5мм, чем по ГОСТ 9484-81.
3. В тех случаях, когда внутренний диаметр гайки служит технологической базой (для окончательной обработки корпуса гайки), внутренний диаметр резьбы гайки выполняют по Н6 для гаек к винтам 0, 1 и 2-го класса точности, Н7 - для гаек к винтам 3-го класса, Н8 - для гаек к винтам 4-го класса точности.
Для разрезной гайки ее внутренний диаметр резьбы назначают из условий обеспечения необходимого зазора, поэтому его задают большим на , чем ПО ГОСТ 9484-81.
4. Внутренний диаметр гайки в одном перпендикулярном к ее оси сечении должен отличаться от внутреннего диаметра в любом таком же сечении гайки не более чем на величину допуска по Н6 для гаек к винтам 0, 1 и 2-го класса точности, Н7 -для гаек к винтам 3-го класса, Н8 - для гаек к винтам 4-го класса точности.
5. Величины допускаемых отклонений профиля и шага гаек не регламентируются, а ограничиваются величиной допуска на средний диаметр.
Шероховатость поверхности сторон профиля винтов и гаек приведена в табл. 7.
7. Параметры шероховатости поверхности Raсторон профиля трапецеидальной резьбы, мкм
Классы точности | Ходовые винты | Гайки |
0 | 0,20 | — |
1 | 0,40 | — |
2 | 0,80 | 0,80 |
3 | 1,6 | 1,6 |
4 | 1,6 | 2,5 |




