0 руб
Оформить заказ2. Решение треугольников и многоугольников
ПРЯМОУГОЛЬНЫЕ ТРЕУГОЛЬНИКИ

Рис. 1
Задано: | Найти: | Решение: |
а, α. | b, c, F | b = a · ctgα; c = a/sinα; F = (a2/2)·ctgα |
b, α. | a, c, F | a = b · tgα; c = b/cosα; F = (b2/2)·tgα |
c, α. | a, b, F | a = c · sinα; b = c · cosα; F = (c2/2)·sinα·cosα = (c2/4)·sin2α |
а, b. | α, β, c, F | tgα = a/b; α = 90° - β; tgβ = b/a; β = 90° - α; c = F = ab/2 |
а, c. | α, β, b, F | sinα = a/c; α = 90° - β; cosβ = a/c; β = 90° - α; b = F = (a/2) |
КОСОУГОЛЬНЫЕ ТРЕУГОЛЬНИКИ

Рис. 2
1-й случай: общий (рис.2)
Задано: | Найти: | Решение: |
а, b, γ | c, α, β,F | c = sinα = a·sinγ/c; tgα = a·sinγ/(b-a·cosγ); sinβ = b·sinγ/c; tgβ = b·sinγ/(a-b·cosγ); F = a·b·sinγ/2 |
а, β, γ или a, α, β | b, c, F | α = 180° - (β + γ); β = 180° - (α + γ); γ = 180° - (α + β); c = b = asinβ/sinα = asinβ/sin(β+γ); c = asinγ/sinα = asinγ/sin(β+γ); F = a2·sinβ·sinγ/(2sinα) = a2/(2(ctgβ + ctgγ)) |
2-й случай: a > b (поэтому β острый); β < α (рис.2)
Задано: | Найти: | Решение: |
а, b, α | β, γ, c,F | c = a·cosβ + b·cosα = a·sinγ/sinα = b·cosα ± sinβ = b·sinα/a; cosβ = ± γ = 180° - (α + β); F = a·b·sinγ/2 = b·c·sinα/2 |
3-й случай: b > а. Треугольник не вполне определен, возможны два решения: β ± 90° (рис.3)

Рис. 3
Задано: | Найти: | Решение: |
а, b, α | β, γ, c,F |
|
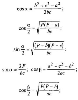
ВЫРАЖЕНИЕ УГЛОВ ТРЕУГОЛЬНИКА ЧЕРЕЗ СТОРОНЫ И ПОЛУПЕРИМЕТР
Задано: а, b, с.
Найти:α, β, γ, F
Полупериметр
P = (a+b+c)/2


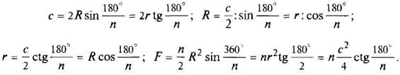
3. Правильный многоугольник

n - число сторон;
с - сторона многоугольника;
R- радиус описанного круга;
r - радиус вписанного круга;
F- площадь многоугольника

n | C | R | r | F | |||||
3 | 1.732R | 3.464r | 0.577с | 2.000r | 0.289с | 0.500R | 0,433с2 | 1,299R2 | 5.196r2 |
4 | 1.414R | 2.000r | 0.707с | 1.414r | 0.500с | 0.707R | 1,000с2 | 2,000R2 | 4,000r2 |
5 | 1.176R | 1.453r | 0.851с | 1.236r | 0,688с | 0.809R | 1,721с2 | 2,378R2 | 3,633r2 |
6 | 1.000R | 1.155r | 1.000с | 1.155r | 0.866с | 0.866R | 2,598с2 | 2,598R2 | 3.464r2 |
7 | 0.868R | 0.963r | 1.152с | 1.110r | 1.038с | 0.901R | 3,635с2 | 2.736R2 | 3,371r2 |
8 | 0.765R | 0.828r | 1.307с | 1.082r | 1.207с | 0.924R | 4.828с2 | 2,828R2 | 3.314r2 |
9 | 0.684R | 0.728r | 1.462с | 1.064r | 1.374с | 0.940R | 6.182с2 | 2.893R2 | 3.276r2 |
10 | 0.618R | 0.650r | 1.618с | 1.052r | 1.539с | 0,951R | 7.694с2 | 2.939R2 | 3,249r2 |
11 | 0.564R | 0.587r | 1.775с | 1.042r | 1.703с | 0.960R | 9.364с2 | 2.9742 | 3.230r2 |
12 | 0.518R | 0.536r | 1.932с | 1.035r | 1.866с | 0.966R | 11.196с2 | 3.000R2 | 3.215r2 |
16 | 0.390R | 0,398r | 2.563с | 1.020r | 2.514с | 0.981R | 20,109с2 | 3.062R2 | 3.183r2 |
20 | 0.313R | 0.317r | 3.196с | 1.013r | 3.157с | 0.988R | 31.569с2 | 3.090R2 | 3,168r2 |
24 | 0.261R | 0.263r | 3.831с | 1.009r | 3.798с | 0.991R | 45.575с2 | 3,106R2 | 3,160r2 |
32 | 0.196R | 0.197r | 5.101с | 1.005r | 5.077с | 0.995R | 81.225с2 | 3,121R2 | 3.152r2 |
48 | 0.131R | 0.131r | 7.645с | 1.002r | 7.629с | 0.998R | 183,08с2 | 3,133R2 | 3,146r2 |
64 | 0.098R | 0.098r | 10.190с | 1.001r | 10.178с | 0,999R | 325.69с2 | 3,137R2 | 3,144r2 |
= a/sinα = b/cosα;
= c·cosα = c·sinβ;
=(1/2)·a·c·sinβ
;
;
;