0
0
0

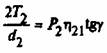
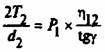
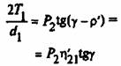
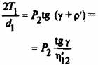
30. Силы в зацеплении и КПД червячных передач

Этот сайт использует файлы cookies для более комфортной работы пользователя. Продолжая просмотр страниц сайта, вы соглашаетесь с политикой использования файлов cookies. Подробнее