0 руб
Оформить заказДля расчета наиболее распространенных соединений пользуются приближенными формулами [2].
Действующие напряжения при сдвиге нахлесточного соединения:
τ = F / (ba),
где F - сдвигающая сила; b, a - ширина и длина нахлестки.
Для неответственных соединений длина нахлестки
а = (2,5...5)s,
где s - толщина склеиваемых листов.
При динамических нагрузках прочность при сдвиге принимают равной 1/3 ее значения при статическом нагружении.
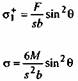
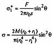
Расчетные формулы для определения действующих напряжений в соединениях на "ус" листов и труб представлены в табл. 43.
43. Расчетные формулы для определения напряжений в клеевых соединениях на "ус"
Соединяемые элементы | Вид деформации | Касательные напряжения τ | Нормальные напряжения |
Листы | Растяжение Изгиб |
|
|
Трубы | Растяжение Изгиб |
|
|
Обозначения:F — растягивающая сила; М — изгибающий момент; θ — угол скоса; r0, r1 - внешний и внутренний радиусы трубы; s - толщина листов; b - ширина листа.
Для клеевых соединений деталей из полимерных, композитных и других материалов с малым модулем упругости уточненные расчеты следует вести с учетом деформации деталей [3, 4].
Эпюра удельных нагрузок имеет обычную вогнутую форму с максимальными значениями по концам.
В случае приклейки полки линейно-упругого уголка к жесткому основанию и действия отрывающей нагрузки вдоль другой полки распределение давления в клеевом слое подчиняется зависимостям для балки на упругом основании.
В реальных конструкциях наблюдается значительный разброс показателей прочности. Это следует учитывать при проектировании конструкций, вводя коэффициент запаса прочности, который назначают в результате экспериментальной отработки клеевого соединения.
В зависимости от степени ответственности конструкции и условий ее работы выбирают значение коэффициента запаса прочности от 1,5 до 3.



