0 руб
Оформить заказНаименьшие радиусы гиба труб и наименьшие длины прямых участков изогнутых труб показаны на рис. 1.
Длину изогнутого участка трубы А определяют по формуле

где R - наименьший радиус изгиба, мм; Dн - наружный диаметр трубы, мм.
При выборе радиуса изгиба следует по возможности предпочитать для изгиба трубы в холодном состоянии.
Размеры минимальных радиусов гиба стальных труб в зависимости от наружного диаметра и толщины стенки, а также предельные размеры складок приведены в табл. 18.
Минимальные радиусы гиба труб назначают в технически обоснованных случаях. При этом должны выполняться следующие требования:
1. Предельные значения овальности в месте изгиба не должны превышать указанных в табл. 18.
2. Толщина стенки трубы в зоне изгиба с наружной стороны изгиба должна составлять не менее 80% исходной толщины.
3. Размеры складок на внутренней (сжатой) стороне трубы не должны превышать указанных в табл. 18.

Рис. 1
Толщина стенок с наружной и внутренней стороны изгиба трубы определяется по формулам:

где S - исходная толщина стенки трубы;
Dн - наружный диаметр трубы (исходный), мм;
Rcр - средний радиус гиба, мм.
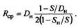
При заданном предельно допустимом утоньшении (уменьшении толщины) Sн/S ≤ 0,2, средний радиус гиба определяется по формуле:

Данные преведены для труб с относительной толщиной стенки 0,04 ≤ S/Dн ≤ 0,05 из материалов с временным сопротивлением σв ≤ 600МПа в отожженном (мягком) состоянии.
В табл. 19 приведены размеры минимальных радиусов гиба водогазопроводных труб, в табл. 20 - медных труб по ГОСТ 617-90 и латунных по ГОСТ 494-90.
18. Радиусы гиба стальных труб в зависимости от их диаметра и толщины стенок, мм
| Диаметр трубы DH | Минимальный радиус гиба R при толщине стенки | |
до 2 | св.2 | ||
От 5 до 20 | 4d | 3d | |
Св. 20 до 35 | 5d | 3d | |
Св. 35 до 60 | - | 4d | |
Св. 60 до 140 | - | 5d | |
Предельные значения овальности в местах изгиба
Наружный диаметр трубы Dн | Предельные значения овальности |
До 10 вкл. | 1 |
Св. 10 до 18 вкл. | 2 |
Св. 18 до 30 вкл. | 3 |
Св. 30 до 50 вкл. | 4 |
Св. 50 |
