0
0
0

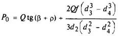
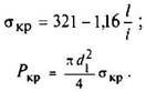
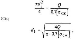
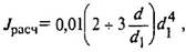
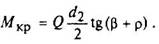
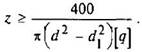
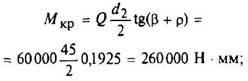
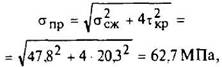
4.Расчет грузовых винтов

Этот сайт использует файлы cookies для более комфортной работы пользователя. Продолжая просмотр страниц сайта, вы соглашаетесь с политикой использования файлов cookies. Подробнее