0
0
0

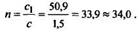
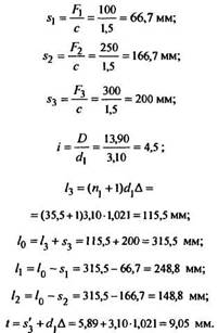
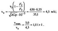
5. Примеры определения размеров пружин и формулы для провероч­ных расчетов жесткости и напря­жений

Этот сайт использует файлы cookies для более комфортной работы пользователя. Продолжая просмотр страниц сайта, вы соглашаетесь с политикой использования файлов cookies. Подробнее