0
0
0

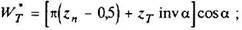
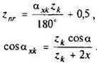
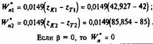
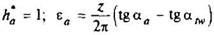
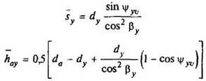
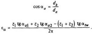
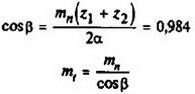
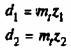
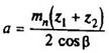
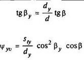
5. Цилиндрические косозубые передачи при параллельных валах

Этот сайт использует файлы cookies для более комфортной работы пользователя. Продолжая просмотр страниц сайта, вы соглашаетесь с политикой использования файлов cookies. Подробнее