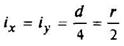
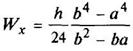
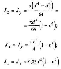
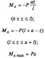
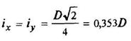
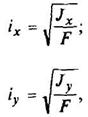
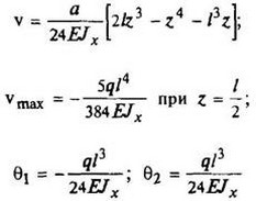
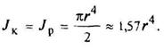
0
0
0

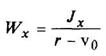
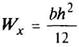
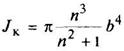
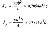
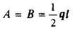
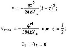
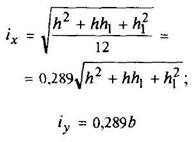
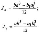
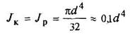
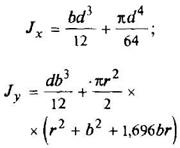
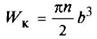
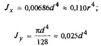
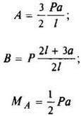
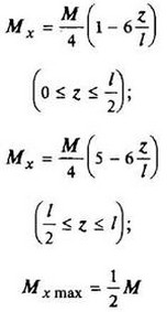
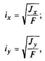
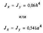
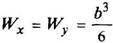
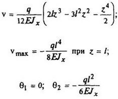
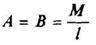
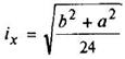
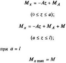
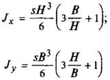
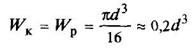
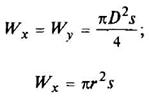
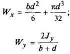
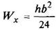
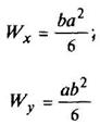
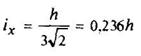
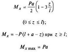
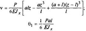
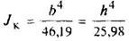
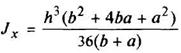
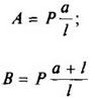
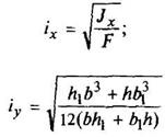
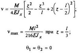
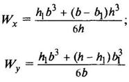
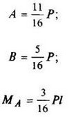
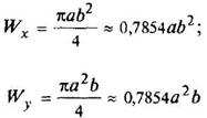
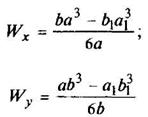
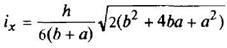
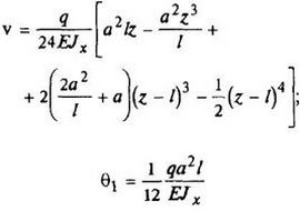
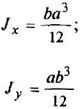
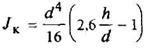
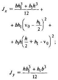
6. Элементы сопротивления мате­риалов

Этот сайт использует файлы cookies для более комфортной работы пользователя. Продолжая просмотр страниц сайта, вы соглашаетесь с политикой использования файлов cookies. Подробнее