0 руб
Оформить заказШаг между болтами выбирают в зависимости от давления р:
t, мм | ≤ 150 | ≤ 120 | ≤ 100 | ≤ 80 |
p, МПа | 0,5-1,5 | 2,5 | 5 | 10 |
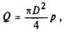
Сила, открывающая крышку и растягивающая болты,

где D - внутренний диаметр сосуда, мм; р - давление газа, пара или жидкости в сосуде, МПа.
Сила, передаваемая одному болту,
Q2 = Q/i,
где i - число болтов.
Расчетная нагрузка на болт
Р = Q1 + βQ2,
где β - коэффициент, зависящий от упругих свойств, входящих в соединение частей; Q1 - сила затяжки одного болта, Н.
Практически можно считать Q1 = Q2, тогда
P = Q2(1 + β).
Ориентировочно коэффициент β для прокладки из резины принимают равным 0,75; из картона или асбеста - 0,55; из мягкой меди - 0,35.
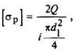
Если упругие свойства скрепленных деталей неизвестны и не требуется высокой точности расчета, то для надежности принимают Р = 2Q2, и болты рассчитывают по уравнению

где d1 - внутренний диаметр резьбы болта, мм; [σр] - допускаемое напряжение при растяжении, МПа.
Примечание. Болты с диаметром d ≤ 12мм, затягиваемые вручную, при рабочем усилии на ключе Рр = 300…400Н могут разорваться. Поэтому в ответственных соединениях органы технического надзора не разрешают устанавливать болты диаметром меньше 16мм.

Рис. 10
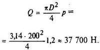
Пример. Крышка цилиндра высокого давления привернута 12 шпильками. Определить их диаметр, если максимальное давление пара в цилиндре р = 1,2МПа, а внутренний диаметр цилиндра D = 200мм.
Решение.
Сила, открывающая крышку,

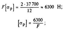
Принимают для надежности расчетную нагрузку Р = 2Q; тогда
2Q ≤ F[σp]i,
где F - площадь сечения шпильки по внутреннему диаметру резьбы, мм2; i - число шпилек.
Определяют [σр]:

если берут шпильку M16, то ее сечение F = 141мм2, следовательно,
[σp] = 630/141 ≈ 45МПа.
что вполне допустимо.