0 руб
Оформить заказВ качестве исходных данных необходимо знать требуемый угол поворота храпового колеса аº и передаваемый крутящий момент на валу храпового колеса.
Предварительное число зубьев храпового колеса zпр = 360º/а; принимают z= 8…48, предпочтительно z = 12…20.
Фактический угол поворота храпового колеса (на один зуб)
а =360°/z.
Модуль храпового колеса, мм:
для наружного зацепления

для внутреннего зацепления

где Мкр - крутящий момент на валу храпового колеса, Н·мм;
ψ - отношение ширины колеса к модулю;
ψ = b/m.

Рис. 5. Схема к расчету храповиков
Расчетный модуль округляют до стандартного. Проверку линейного давления производят по формуле

где b - ширина зуба, мм; [σи] - допускаемое напряжение на изгиб для материала колеса, МПа;
q - допускаемое давление на единицу длины зуба, Н/мм. Ширина собачки b1 ≤ b.
Значения ψ, qи [σи] для различных материалов храповых колес приведены в табл. 12.
12. Значения ψ, q и [σв]
Материал храпового колеса | Отношение ψ | Допускаемое линейное давление q, Н/мм | Допускаемое напряжение изгиба [σи], МПа |
Чугун СЧ 18; СЧ 15 Сталь марок 35Л и 45Л Поковка из стали Ст3 Поковка из стали 45 | 1,5-6,0 1,5-4,0 1,0-2,0 1,0-2,0 | 150 300 350 400 | 30 80 100 120 |
Храповые колеса и их собачки изготовляют закаленными и цементованными с закалкой.
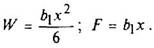
Напряжение в опасном сечении а - b или с - d собачки (рис. 5)

где окружная сила

Изгибающий момент
Мu = Рl (здесь l- плечо изгиба);

Диаметр оси собачки: в сечении I – I

в сечении II –II

где [σи] ≤ 50МПа для оси собачки из стали Ст5 или стали 45.