0 руб
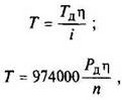
Оформить заказЗа расчетный момент принимают наибольший длительно действующий момент. Расчетный вращающий момент на валу

где Тд - момент на валу двигателя, Н·см; η - КПД участка кинематической цепи от двигателя до рассчитываемого вала; i = n/n0 - передаточное отношение от двигателя до вала; n - расчетная частота вращения вала, мин-1; n0 - частота вращения вала двигателя, мин-1; Рд – мощность на валу двигателя, кВт.
Для определения вращающего момента по мощности и частоте вращения можно пользоваться и номограммой (рис. 7).
